Simplifying Complex Rational Expressions
A complex rational expression is a fraction that has fractions in its numerator, its denominator, or both. Think of it as a "fraction within a fraction." There are two reliable methods for simplifying them: rewriting as a division problem, and multiplying by the LCD. Both approaches get you to the same answer, so pick whichever feels more natural for a given problem.
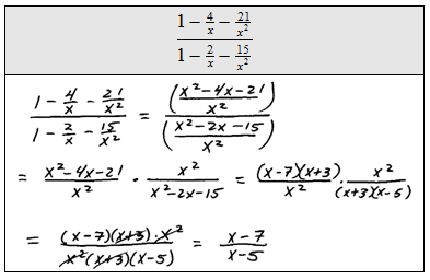
Method 1: Rewriting as a Division Problem
The core idea here is that a fraction bar means division. So a complex rational expression is really just one rational expression divided by another.
Steps:
-
Identify the main fraction bar. Everything above it is your numerator; everything below it is your denominator.
-
Combine each part into a single fraction (if it isn't already). For example, if the numerator is , find a common denominator and combine before moving on.
-
Rewrite as a division problem. The complex fraction becomes
-
Flip and multiply. Change the division to multiplication by taking the reciprocal of the divisor:
-
Factor everything and cancel common factors between any numerator and any denominator.
-
Write the simplified result:
-
State domain restrictions. Any value that made an original denominator equal zero is excluded, even if that factor canceled.

Method 2: Multiplying by the LCD
This method clears all the "inner" fractions in one move. It's especially useful when the numerator or denominator contains addition or subtraction of fractions.
Steps:
-
List every denominator that appears anywhere inside the complex fraction (both in the top part and the bottom part).
-
Find the LCD of all those denominators. Factor each denominator, then build the LCD by taking the highest power of every distinct factor.
Example: If the inner denominators are and , the LCD is .
-
Multiply the entire numerator and the entire denominator of the complex fraction by that LCD. Because you're multiplying top and bottom by the same thing, you haven't changed the value of the expression.
-
Distribute the LCD to each term in the numerator and each term in the denominator. The inner denominators will cancel, leaving you with polynomial expressions.
-
Simplify what remains by combining like terms and factoring.
-
Cancel any common factors between the new numerator and denominator.
Worked example: Simplify
- Inner denominators: , , and . The LCD is .
- Multiply numerator by LCD:
- Multiply denominator by LCD:
- Result:

Order of Operations During Simplification
When the numerator or denominator of a complex fraction contains multiple terms or operations, you need to simplify each part carefully before dividing.
-
Simplify inside parentheses first. Handle any addition or subtraction of fractions within the numerator or denominator by finding common denominators and combining.
-
Evaluate exponents. Expand or simplify any powers before multiplying.
-
Multiply and divide from left to right.
-
Factor the simplified numerator and denominator completely.
-
Cancel common factors, then write your final answer.
A common mistake is trying to cancel terms that are being added rather than multiplied. You can only cancel a factor if it multiplies the entire numerator and the entire denominator. For instance, in , you cannot cancel the 's.
Key Techniques to Remember
- Reciprocal method: Flipping the denominator fraction and multiplying is the fastest path when both the numerator and denominator are already single fractions.
- Factoring first: Always look for factorable expressions before you multiply anything out. Canceling early keeps the algebra manageable.
- Nested fractions: If your result still contains a fraction within a fraction, repeat the process. Apply one of the two methods again until no inner fractions remain.
- Domain restrictions: Track every value of the variable that would create a zero denominator at any stage. These restrictions carry through to the final answer, even after cancellation.