Solving Equations with Square Roots
Solving equations with square roots means undoing a radical to find the value of the variable hidden inside it. This skill shows up constantly in geometry, physics, and later algebra courses, so getting comfortable with the process now pays off. The biggest catch: squaring both sides of an equation can create extraneous solutions that look right but aren't, so you always need to check your answers.
How to Solve a Radical Equation
The core strategy is to isolate the square root, square both sides to remove it, then solve what's left. Here's the step-by-step process:
- Isolate the radical on one side of the equation. Use addition, subtraction, multiplication, or division to get the square root term by itself.
- Square both sides to eliminate the square root. This works because . Be careful to square the entire side, not just individual terms.
- Solve the resulting equation. Expand, combine like terms, and isolate the variable using inverse operations.
- Check every solution in the original equation (the one with the radical still in it). Throw out any solution that doesn't work.
Worked Example
Solve
- The radical is already isolated.
- Square both sides:
- Subtract 3:
- Check: ✓

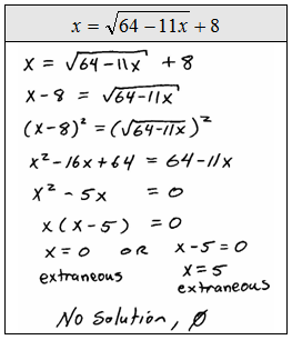
Example with an Extraneous Solution
Solve
-
The radical is already isolated.
-
Square both sides:
-
Rearrange: , so . This gives or .
-
Check : , but . Since , this is extraneous. Discard it.
-
Check : , and ✓
The only solution is .
Extraneous Solutions
Squaring both sides of an equation is a valid algebraic step, but it can introduce answers that don't actually satisfy the original equation. This happens because squaring removes the distinction between positive and negative values (both and equal 9).
That's why checking is not optional. To identify extraneous solutions:
- Plug each answer back into the original radical equation.
- If the left side doesn't equal the right side, that solution is extraneous.
- Only keep solutions that make the original equation true.
Also remember that a square root (by definition) produces a non-negative output. So if your equation has , there's no solution at all.

Square Root Formulas in Applications
Several common formulas require solving for a variable that's under a square root or inside a squared term.
- Pythagorean theorem: , where and are the legs of a right triangle and is the hypotenuse. To find a missing side, you isolate the squared term and take the square root. For example, if and : , so .
- Falling object (gravity) formula: , where is the distance fallen, is acceleration due to gravity ( on Earth), and is time in seconds. Solving for gives .
- Speed formula: , where is speed, is acceleration, and is distance. To solve for , square both sides to get , then .
- Circle area: . Solving for the radius gives .
In each case, the same process applies: isolate the radical (or create one by taking a square root), then solve.
Related Concepts
- Square root functions and domain: The expression is only defined for (in real numbers). This means the expression inside any square root must be non-negative, which can restrict which solutions are valid.
- Functions and inverses: Squaring and taking a square root are inverse operations, but they don't perfectly "undo" each other in all cases. The square root function only returns the non-negative root, which is exactly why extraneous solutions can appear when you square both sides.