Dividing Polynomials
Dividing polynomials extends what you already know about long division with numbers into the world of algebra. You'll use these techniques to simplify expressions, break down complex polynomials, and check factoring work.
Polynomial Division by Monomials
When you divide a polynomial by a single term (a monomial), you split the division across each term using the distributive property. Think of it like distributing the denominator to every term in the numerator.
Steps:
- Divide each term of the polynomial by the monomial separately
- For each term, divide the coefficients (the number parts)
- For each term, subtract the exponents of matching variables (this comes from the exponent rule )
- Write the simplified terms together as your answer
Example: Divide
- (divide coefficients: 6 รท 3 = 2; subtract exponents: 3 โ 1 = 2)
- (coefficients: โ9 รท 3 = โ3; exponents: 2 โ 1 = 1)
- (coefficients: 12 รท 3 = 4; exponents: 1 โ 1 = 0, so the variable drops out)
Result:

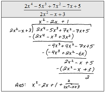
Long Division of Polynomials
When the divisor has more than one term (like a binomial), you'll use polynomial long division. The process mirrors regular long division with numbers.
Steps:
- Set up the problem: write the dividend (the polynomial being divided) inside the division bracket and the divisor outside
- Divide the first term of the dividend by the first term of the divisor. Write this result above the bracket as the first term of the quotient
- Multiply the entire divisor by that quotient term. Write the result below the dividend, aligning like terms
- Subtract to get a difference. (Be careful with signs here; this is where most mistakes happen.)
- Bring down the next term from the dividend
- Repeat steps 2โ5 using the new expression as your working dividend. Keep going until the degree of what's left is less than the degree of the divisor
- Whatever is left at the bottom is your remainder
Example: Divide
- . Multiply: . Subtract:
- Bring down . Now divide . Multiply: . Subtract:
- Bring down . Now divide . Multiply: . Subtract:
Result: with a remainder of

Quotients and Remainders in Polynomial Division
The quotient is the polynomial you build above the division bracket. The remainder is whatever is left over after the last subtraction step.
A few key facts about remainders:
- The degree of the remainder is always less than the degree of the divisor. If you're dividing by a binomial (degree 1), the remainder will be a constant (degree 0) or zero.
- A remainder of means the divisor divides evenly into the dividend. In other words, the divisor is a factor of the dividend.
You can always check your work using this relationship:
Dividend = (Divisor ร Quotient) + Remainder
Example: gives a quotient of with a remainder of .
Check: โ
This check is worth doing on exams. If the right side doesn't match your original dividend, something went wrong in your division.
Additional Techniques and Connections
Synthetic division is a shortcut method that works when you're dividing by a linear expression of the form . It uses only the coefficients and is faster than long division, though the setup takes some getting used to. Your course may or may not cover this method.
Polynomial division also connects to factoring. If you divide a polynomial by and get a remainder of , then is a factor of that polynomial. This is useful for breaking polynomials into simpler pieces and for finding roots of polynomial equations.