Solving Radical Equations
A radical equation is any equation where the variable appears inside a radical (a square root, cube root, etc.). The core strategy is to eliminate the radical by raising both sides to the appropriate power, then solve what's left. The catch: this process can introduce extraneous solutions that don't actually work in the original equation, so checking your answers is not optional.
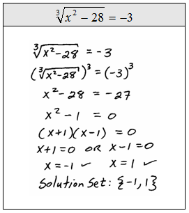
Equations with a Single Radical
The process for a single radical follows four steps:
- Isolate the radical on one side of the equation. Use addition, subtraction, multiplication, or division to get the radical expression by itself.
- Raise both sides to the power that matches the index of the radical. For a square root, square both sides. For a cube root, cube both sides. This eliminates the radical.
- Solve the resulting equation. Combine like terms, then isolate the variable using inverse operations.
- Check every solution by substituting it back into the original equation. Any value that doesn't satisfy the original equation is extraneous and must be rejected.
Example: Solve
- The radical is already isolated.
- Square both sides:
- Subtract 3:
- Check: ✓
Example with an extraneous solution: Solve
-
The radical is already isolated.
-
Square both sides:
-
Rearrange: , which factors to , giving or .
-
Check : and ✓ Check : and ✗
Only is a valid solution. The value is extraneous because squaring both sides created it.

Equations with Multiple Radicals
When an equation contains more than one radical, you'll need to eliminate them one at a time:
- Isolate one radical on one side of the equation.
- Raise both sides to the power of that radical's index. This eliminates that radical but may leave another.
- Isolate the remaining radical and raise both sides to the appropriate power again.
- Solve the resulting equation.
- Check every solution in the original equation. With multiple squaring steps, extraneous solutions are even more likely.
Example: Solve
- The radical is already isolated on the left.
- Square both sides:
- Simplify: , so
- Square both sides again:
- Check: and ✓

Applications of Radical Equations
Many real-world formulas involve radicals. To solve application problems:
- Identify the unknown and assign it a variable.
- Translate the problem into a radical equation using the relationships described.
- Solve using the steps above (isolate, raise to a power, solve, check).
- Interpret the solution in context. Does the answer make sense? Lengths and times, for instance, must be positive. Reject any solution that doesn't fit the real-world situation.
- Express your answer with appropriate units, rounding if the problem requires it.
For example, the formula gives the time for an object to fall a distance under gravity . If you know the time and need the distance, you'd set up the equation and solve for using the radical equation techniques above.
Solution Analysis
After solving, consider what types of solutions you found:
- Real solutions are values on the real number line that satisfy the original equation.
- Extraneous solutions arise from the squaring (or cubing) process and fail the check step. They are not actual solutions.
- No solution is possible. If every candidate fails the check, the equation has no real solution.
Always keep the domain in mind. For square roots, the expression under the radical must be greater than or equal to zero. This restriction can help you spot extraneous solutions quickly before you even substitute back in.