Integers are the building blocks of algebra. They let you work with positive and negative values, understand absolute value, and perform arithmetic that carries through every topic you'll encounter later. If your integer skills are shaky, equations and expressions will be much harder than they need to be.
Integer concepts show up constantly in real-world contexts: temperature changes, profit and loss, elevation above and below sea level, and timelines. Getting comfortable with integers now connects abstract math to practical situations and sets you up for the rest of the course.
Integer Fundamentals
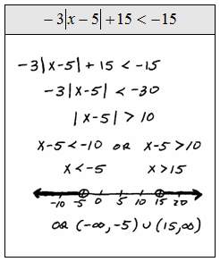
Simplification of absolute value expressions
Absolute value measures the distance of a number from 0 on the number line. Because distance is never negative, absolute value is always zero or positive.
The formal definition works in two pieces:
- if
- if
That second rule trips people up. It doesn't mean the answer is negative. If , then , which is positive. The negative sign just "flips" a negative input to its positive distance.
To simplify an expression inside absolute value bars, evaluate the inside first, then take the absolute value:
Absolute value also connects to inequalities. For example, means is less than 5 units from zero, which translates to .
Basic integer arithmetic operations
Addition: When both integers share the same sign, add their absolute values and keep the common sign.
When the signs differ, subtract the smaller absolute value from the larger one and keep the sign of the number with the larger absolute value.
- (since , the result is positive)
- (since , the result is negative)
Subtraction: Rewrite subtraction as adding the opposite, then follow the addition rules.
Multiplication and Division: The sign rules are the same for both operations.
- Same signs โ positive result: and
- Different signs โ negative result: and
A quick way to remember: count the negative signs. An even number of negatives gives a positive result; an odd number gives a negative result.
Complex integer expression simplification
When an expression combines several operations, use the order of operations (PEMDAS):
- Parentheses (innermost first)
- Exponents
- Multiplication and Division (left to right)
- Addition and Subtraction (left to right)
The distributive property lets you remove parentheses when a factor sits outside them:
For example:
After distributing, combine like terms by adding or subtracting coefficients of terms that share the same variable and exponent:

Applied Integer Concepts
Evaluation with integer values
To evaluate an expression for given integer values:
- Substitute each value into the expression, using parentheses around negative numbers to avoid sign errors.
- Simplify using the order of operations.
Example: Evaluate for and .
Putting parentheses around is important here. Without them, it's easy to lose the negative sign.
Word problems to integer expressions
Translating a word problem into algebra takes two steps: identify what's unknown (assign it a variable), then match the words to operations.
Common keyword-to-operation translations:
- Addition: sum, more than, increased by โ
- Subtraction: difference, less than, decreased by โ
- Multiplication: product, times, multiplied by โ
- Division: quotient, divided by, ratio โ
Watch out for "less than" phrasing. "3 less than y" means , not . The order flips from how you read it in English.

Real-world applications of integers
- Temperature changes: A rise of 5ยฐC is ; a drop of 3ยฐC is . If the temperature starts at ยฐC and rises 5ยฐC, you calculate ยฐC.
- Elevation: Heights above sea level are positive; depths below are negative. A mountain peak at 1,500 m and a submarine at m are 1,700 m apart in elevation.
- Profit and loss: Profit is positive, loss is negative. If a company earns one quarter and loses the next, the net result is .
- Timelines: Dates before a reference point (BCE) can be represented with negative integers, and dates after (CE) with positive integers. The span from 500 BCE to 2023 CE covers about 2,523 years.
- Coordinate plane: Integers mark points in two-dimensional space, with the x-axis and y-axis crossing at the origin .
Number Systems and the Real Number Line
Types of numbers
Integers are part of a larger family of number systems. Knowing where integers fit helps you understand what kinds of numbers you'll encounter as the course progresses.
- Rational numbers can be written as a ratio of two integers (where the denominator isn't zero). Examples: , , . Every integer is also rational because you can write it as a fraction over 1 (e.g., ).
- Irrational numbers cannot be expressed as a ratio of two integers. Their decimal forms go on forever without repeating. Examples: , .
- Real numbers include all rational and irrational numbers together. Every point on the number line corresponds to a real number.
The real number line
The real number line is a horizontal line that represents every real number as a point.
- Integers are evenly spaced along the line.
- Rational and irrational numbers fill the gaps between integers.
- The line extends infinitely in both directions: negative to the left, positive to the right.
- Numbers increase as you move right and decrease as you move left, which is useful for comparing values and understanding inequalities.