Solving Quadratic Equations
The Quadratic Formula lets you solve any quadratic equation, even when factoring or completing the square won't work cleanly. It's the most reliable method in your toolkit, and understanding the discriminant (a piece of the formula) tells you what kind of solutions to expect before you even finish solving.
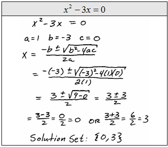
Application of the Quadratic Formula
Every quadratic equation can be written in standard form: . Once it's in that form, the Quadratic Formula gives you the solutions directly:
The symbol means you'll get two answers: one where you add the square root term, and one where you subtract it. These solutions are also called the roots of the equation.
Here's how to use it step by step:
-
Write the equation in standard form (). Move all terms to one side if needed.
-
Identify the coefficients , , and . Pay close attention to signs.
-
Substitute , , and into the formula.
-
Simplify the discriminant () under the square root first.
-
Calculate both solutions by using and then with the square root result.
Example: Solve
- Identify: , ,
- Substitute:
- Simplify the discriminant:
- Two solutions: and
A common mistake is mishandling the negative signs. Notice that , so , and (not ). Always square the entire value of , including its sign.

Interpretation of the Discriminant
The discriminant is the expression under the square root: . You don't need to finish the whole formula to figure out what kind of solutions you'll get. Just compute the discriminant and check its sign:
- Positive (): Two distinct real solutions. The parabola crosses the x-axis at two points.
- Zero (): One repeated real solution. The parabola just touches the x-axis at its vertex.
- Negative (): Two complex (non-real) solutions involving the imaginary unit , where . The parabola never touches the x-axis.
Example: Determine the number and nature of solutions for
- , ,
- Discriminant:
- Since , there are two distinct real solutions.
You can also tell more from the discriminant's value: if it's a perfect square (like 49 or 36), the solutions will be rational numbers. If it's positive but not a perfect square (like 12), the solutions will involve square roots and be irrational.

Choosing the Best Method
Not every quadratic equation calls for the Quadratic Formula. Picking the right method saves time and reduces errors.
Methods for Solving Quadratics
Factoring is the fastest approach when it works. It's most efficient when:
- The leading coefficient is (or close to it, like )
- The constant term factors into two integers that add up to
- All coefficients are integers
For example, factors neatly as , giving and .
Completing the square is useful when you need to rewrite the equation in vertex form to find the vertex and axis of symmetry. For example, becomes , which tells you the vertex is at .
The Quadratic Formula is the most general method. Reach for it when:
- The equation doesn't factor easily
- Coefficients are fractions, decimals, or irrational numbers (like )
- You need exact solutions rather than decimal approximations
Graphical Representation and Analysis
The solutions (roots) of a quadratic equation correspond to the x-intercepts of its parabola on a graph. This connection is useful: if you graph and see the curve crossing the x-axis twice, you know there are two real solutions. If it only touches the axis once, there's one repeated solution. If it floats entirely above or below the x-axis, the solutions are complex. This visual check lines up directly with what the discriminant tells you.