Inverse functions are mathematical partners that undo each other's operations. They swap domains and ranges, creating a mirror-like relationship. Understanding inverse functions helps us grasp function composition and the reversibility of mathematical operations.
Calculating inverse functions involves flipping x and y, then solving for y. Graphing inverses is like reflecting the original function across y=x. These concepts are crucial for understanding function relationships and solving complex equations in algebra.
Inverse Functions
Inverse function determination
- Two functions $f(x)$ and $g(x)$ are inverses if they "undo" each other
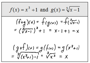
- Composing $f(x)$ and $g(x)$ in either order results in the original input ($x$)
- $f(g(x)) = x$ for all $x$ in the domain of $g(x)$ (undoes $g(x)$)
- $g(f(x)) = x$ for all $x$ in the domain of $f(x)$ (undoes $f(x)$)
- Checking if functions are inverses involves composition
- Compose $f(g(x))$ and $g(f(x))$ algebraically or by substitution
- If both compositions simplify to $x$, the functions are inverses ($f(x) = x^2$ and $g(x) = \sqrt{x}$)
- This process demonstrates function composition and the inverse relationship between functions
)_g(f(x))_college_algebra_visual_explanation%22-ex02.PNG.png)
Domain and range of inverses
- The domain and range of inverse functions are swapped
- Domain of $f(x)$ becomes the range of $f^{-1}(x)$ ($f(x) = x^2$, domain: $\mathbb{R}$, range: $[0, \infty)$)
- Range of $f(x)$ becomes the domain of $f^{-1}(x)$ ($f^{-1}(x) = \sqrt{x}$, domain: $[0, \infty)$, range: $\mathbb{R}$)
- One-to-one functions have inverses
- Each input ($x$) maps to a unique output ($y$) (injective)
- Horizontal line test determines if a function is one-to-one
- If any horizontal line intersects the graph more than once, the function is not one-to-one and has no inverse ($f(x) = x^2$)
)_g(f(x))_college_algebra_visual_explanation%22-CNX_Precalc_Figure_01_07_004ab2.jpg)
Calculation of inverse functions
- Finding the inverse of a function $f(x)$ involves algebraic manipulation
- Replace $f(x)$ with $y$
- Interchange $x$ and $y$ variables
- Solve the equation for $y$
- Replace $y$ with $f^{-1}(x)$
- Example: Inverse of $f(x) = 3x - 4$
- $y = 3x - 4$
- $x = 3y - 4$
- $x + 4 = 3y$, $\frac{x + 4}{3} = y$
- $f^{-1}(x) = \frac{x + 4}{3}$
Graphing inverses from originals
- Graphing an inverse function involves reflecting the original function's graph
- Reflect the graph of $f(x)$ across the line $y = x$ to obtain the graph of $f^{-1}(x)$
- The line $y = x$ serves as a symmetry line between a function and its inverse
- Reflection process
- Choose points on the original function's graph ($f(x) = x^2$, points: $(0, 0)$, $(1, 1)$, $(2, 4)$)
- Swap the $x$ and $y$ coordinates of each point ($(0, 0)$, $(1, 1)$, $(4, 2)$)
- Plot the new points and connect them to graph the inverse function ($f^{-1}(x) = \sqrt{x}$)
- Symmetric property: If $(a, b)$ is on the graph of $f(x)$, then $(b, a)$ is on the graph of $f^{-1}(x)$ ($(2, 4)$ on $f(x)$, $(4, 2)$ on $f^{-1}(x)$)
- This graphical symmetry visually represents the inverse relationship between functions