Radicals
Simplification of Square Roots
The square root of a number , written , is the non-negative number that, when multiplied by itself, gives you . So because .
To simplify a square root, factor out perfect squares from under the radical. This relies on the property that , and that for .
Steps to simplify:
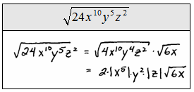
- Find the largest perfect square factor of the radicand (the number under the radical)
- Rewrite the radicand as a product of that perfect square and the remaining factor
- Take the square root of the perfect square and leave the rest under the radical
For example, to simplify : the largest perfect square factor of 72 is 36, so .
Memorize the common perfect squares: 4, 9, 16, 25, 36, 49, 64, 81, 100.
Estimating square roots: If the radicand isn't a perfect square, identify the two perfect squares it falls between. For example, falls between and , so is somewhere between 3 and 4 (closer to 3). The result is an irrational number, meaning it can't be written as a simple fraction.
Product and Quotient Rules for Radicals
These two rules let you combine or split radicals that share the same index (the small number indicating the root type).
- Product rule:
- Quotient rule: for
A good habit is to simplify each radical before combining them. This often makes the arithmetic easier.
Product rule example:
Quotient rule example:
You can also use both rules together:
Addition and Subtraction of Square Roots
You can only add or subtract radicals that have the same radicand. These are called like radicals, and they work just like combining like terms: add or subtract the coefficients and keep the radical part.
For example:
If the radicands look different, simplify each radical first. They might turn out to be like radicals after all.
If the radicands are still different after simplifying (like and ), you can't combine them. Just leave the expression as a sum or difference.

Rationalization of Radical Denominators
In simplified form, radicals should not appear in the denominator of a fraction. Rationalizing means rewriting the fraction so the denominator contains no radicals.
Single-term denominator: Multiply the numerator and denominator by the radical in the denominator.
Two-term denominator: Multiply the numerator and denominator by the conjugate of the denominator. The conjugate flips the sign between the two terms.
This works because multiplying conjugates produces a difference of squares, which eliminates the radicals in the denominator.
Rational Exponents
Simplification of Rational Exponents
A rational exponent is an exponent written as a fraction. The key definition is:
The denominator of the fraction is the root, and the numerator is the power. For example, .
When is even, we need to stay in the real numbers.
The same exponent rules you already know apply to rational exponents:
-
Product rule: (add the exponents using a common denominator)
-
Quotient rule:
-
Power rule:
Example using the product rule:
The trick is just careful fraction arithmetic with the exponents.

Conversion Between Radicals and Exponents
Being able to switch between radical notation and rational exponent notation is a core skill. Use whichever form makes the problem easier to work with.
- Radical to exponent:
- Exponent to radical:
The special case where :
Example: Simplify .
- Convert to exponent form:
- Rewrite the base as a power:
- Apply the power rule:
Rational exponent form is especially useful when you need to apply exponent rules. Radical form is often better for final answers or when estimating values.
Advanced Concepts
Complex Numbers and Absolute Value
When you take the square root of a negative number, you leave the real number system and enter the complex numbers. The foundation is the definition , called the imaginary unit.
For any negative radicand: for . For example, .
The absolute value of a complex number represents its distance from zero on the complex plane, but that topic gets developed more fully in later units.
Domain Restrictions
Radicals and rational exponents come with domain restrictions you need to watch for:
- Even-index radicals (square roots, fourth roots, etc.) require the radicand to be non-negative. For example, is only defined for in the real numbers.
- Odd-index radicals (cube roots, fifth roots, etc.) accept any real number. is perfectly valid.
- Rational exponents with even denominators follow the same restriction as even-index radicals.
These restrictions become especially important when you're finding the domain of functions that involve radicals or rational exponents.