Infinite series are like never-ending math stories. They're sums of numbers that go on forever, but sometimes they add up to something meaningful. We use them to break down complex functions into simpler parts.
Convergence is key in infinite series. It's about figuring out if the sum approaches a specific value or if it grows without bound. This helps us decide if a series is useful for calculations or not.
Introduction to Infinite Series
Concept of infinite series sums
- Infinite series represents a sum of an infinite sequence of terms denoted as $\sum_{n=1}^{\infty} a_n = a_1 + a_2 + a_3 + ...$, where $a_n$ is the nth term
- Plays a significant role in calculus by representing functions as sums of simpler terms, enabling approximation of functions and integrals, and aiding in solving differential equations and other advanced calculus problems
- Convergence of a series occurs when the sum approaches a finite value as n approaches infinity, while divergence happens when the sum grows without bound or fails to approach a finite value
- Determining convergence or divergence is essential for validating the series and its applications
Types of Infinite Series

Applications of geometric series
- Geometric series is characterized by a constant ratio between successive terms, expressed in the general form $\sum_{n=0}^{\infty} ar^n = a + ar + ar^2 + ...$, where $a$ is the first term and $r$ is the common ratio
- Sum of a geometric series is given by the formula $S_{\infty} = \frac{a}{1-r}$, where $|r| < 1$ (convergence condition), derived by multiplying the series by $r$ and subtracting it from the original series
- Convergence conditions for geometric series: converges to $\frac{a}{1-r}$ when $|r| < 1$ and diverges when $|r| \geq 1$
- Practical applications include calculating repeating decimals (0.3333... = $\frac{1}{3}$), modeling population growth or decay, and computing areas and volumes of certain geometric shapes
Analysis of telescoping series
- Telescoping series is characterized by the cancellation of most terms when added together, leaving only a few terms that determine the sum
- Recognizing telescoping series involves identifying terms that simplify when added together, often involving partial fractions or differences of terms
- Solving telescoping series requires expanding the series, identifying the canceling terms, determining the remaining terms after cancellation, and computing the sum using the remaining terms
- Examples of telescoping series:
- $\sum_{n=1}^{\infty} \frac{1}{n(n+1)} = 1$
- Partial fraction decomposition: $\frac{1}{n(n+1)} = \frac{1}{n} - \frac{1}{n+1}$
- Telescoping sum: $\left(1 - \frac{1}{2}\right) + \left(\frac{1}{2} - \frac{1}{3}\right) + \left(\frac{1}{3} - \frac{1}{4}\right) + ... = 1$
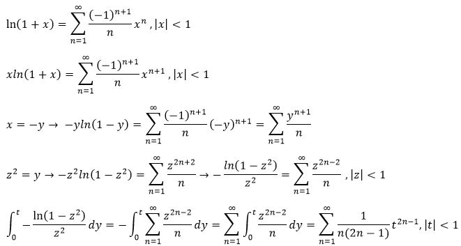
- $\sum_{n=1}^{\infty} \frac{2n-1}{n(n+1)(n+2)} = \frac{1}{4}$
- Partial fraction decomposition: $\frac{2n-1}{n(n+1)(n+2)} = \frac{1}{n} - \frac{2}{n+1} + \frac{1}{n+2}$
- Telescoping sum: $\left(1 - \frac{2}{2} + \frac{1}{3}\right) + \left(\frac{1}{2} - \frac{2}{3} + \frac{1}{4}\right) + ... = \frac{1}{4}$
- $\sum_{n=1}^{\infty} \frac{1}{n(n+1)} = 1$

Foundations and Advanced Concepts
Sequences and Series
- A sequence is an ordered list of numbers, often denoted as {a_n}, where each term is determined by its position
- The limit of a sequence (if it exists) is the value that the terms approach as n approaches infinity
- A series is the sum of the terms of a sequence
- The partial sum of a series is the sum of a finite number of terms, crucial for understanding the behavior of infinite series
Power Series and Radius of Convergence
- Power series are infinite series of the form $\sum_{n=0}^{\infty} a_n(x-c)^n$, where $a_n$ are constants and $c$ is the center of the series
- The radius of convergence is the largest interval centered at $c$ for which the power series converges
- Determining the radius of convergence is essential for understanding the domain of convergence for power series