Formulas
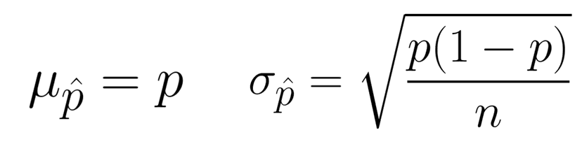
You can usually tell if you will solve a problem using sample proportions if the problem gives you a probability or percentage. For a sample proportion with probability p, the mean of our sampling distribution is equal to the probability. All formulas in this section can be found on page 2 of the given formula sheet.


Large Counts Condition
Before you can use a sampling distribution for sample proportions to make inferences about a population proportion, you need to check that the sample meets certain conditions. One of these conditions is the large counts condition, which states that the sample size should be large enough for the distribution of the sample proportion to be approximately normal.
The large counts condition can be expressed as np ≥ 10 and n(1-p) ≥ 10, where n is the sample size and p is the sample proportion. This means that both the number of successes (np) and the number of failures (n(1-p)) in the sample should be at least 10. If these conditions are met, then you can assume that the sampling distribution for the sample proportion is approximately normal, and you can use statistical techniques that rely on normality, such as confidence intervals or hypothesis tests (we'll cover this in future sections!). ✔️
For the shape (normal) of distributions of means, you can check the Central Limit Theorem, but for proportions you must always check the Large Counts Condition.
Practice Problem
Suppose that you are conducting a survey to estimate the proportion of people in your town who support a new public transportation system. You decide to use a simple random sample of 1000 people, and you ask them whether or not they support the new system. After collecting the data, you find that 600 people out of the 1000 respondents support the system.
a) Calculate the sample proportion of respondents who support the new system.
b) Explain what the sampling distribution for the sample proportion represents and why it is useful in this situation.
c) Suppose that the true population proportion of people who support the new system is actually 0.6. Describe the shape, center, and spread of the sampling distribution for the sample proportion in this case.
d) Explain why the Central Limit Theorem applies to the sampling distribution for the sample proportion in this situation.
e) Calculate a 95% confidence interval for the population proportion of people who support the new system based on the sample data. (Optional for now, but feel free to answer if you already checked out the section on confidence intervals!)
f) Discuss one potential source of bias that could affect the results of this study, and explain how it could influence the estimate of the population proportion."
Answers
a) The sample proportion of respondents who support the new system is 600/1000 = 0.6.
b) The sampling distribution for the sample proportion represents the distribution of possible values for the sample proportion if the study were repeated many times. It is useful in this situation because it allows us to make inferences about the population proportion based on the sample data.
c) If the true population proportion of people who support the new system is 0.6, the sampling distribution for the sample proportion would be approximately normal with a center at 0.6 and a spread that depends on the sample size and the variability of the population.
d) The Central Limit Theorem applies to the sampling distribution for the sample proportion in this situation because the sample size (n = 1000) is large enough for the distribution to be approximately normal, even if the population is not normally distributed.
e) A 95% confidence interval for the population proportion of people who support the new system can be calculated as 0.6 +/- (1.96 * sqrt((0.6(1-0.6))/1000)). This gives a confidence interval of (0.570, 0.630).*
f) One potential source of bias in this study could be nonresponse bias, which occurs when certain groups of individuals are more or less likely to respond to the survey. For example, if people who support the new system are more likely to respond to the survey, the sample could be biased toward higher levels of support and produce an overestimate of the population proportion. On the other hand, if people who do not support the new system are more likely to respond, the sample could be biased toward lower levels of support and produce an underestimate of the population proportion.
Vocabulary
The following words are mentioned explicitly in the College Board Course and Exam Description for this topic.
| Term | Definition |
|---|---|
| approximately normal | A distribution that closely follows the shape of a normal distribution, allowing for the use of normal probability methods. |
| categorical variable | A variable that takes on values that are category names or group labels rather than numerical values. |
| independent samples | Two or more separate groups of data where the values in one group do not influence or depend on the values in another group. |
| mean of the sampling distribution | The expected value of a sample statistic; for sample proportions, μp̂ = p. |
| parameter | A numerical summary that describes a characteristic of an entire population. |
| population proportion | The true proportion or percentage of a characteristic in an entire population, typically denoted as p. |
| probability | The likelihood or chance that a particular outcome or event will occur, expressed as a value between 0 and 1. |
| sample proportion | The proportion of individuals in a sample that have a particular characteristic, denoted as p-hat (p̂). |
| sample size condition | The requirement that np ≥ 10 and n(1-p) ≥ 10 must be satisfied for a sampling distribution of a sample proportion to be approximately normal. |
| sampling distribution | The probability distribution of a sample statistic (such as a sample proportion) obtained from repeated sampling of a population. |
| sampling with replacement | A sampling method in which an item selected from a population can be selected again in subsequent draws. |
| sampling without replacement | A sampling method in which an item selected from a population cannot be selected again in subsequent draws. |
| standard deviation of the sampling distribution | The measure of variability in a sampling distribution; for sample proportions, σp̂ = √(p(1-p)/n). |
Frequently Asked Questions
What's the formula for the standard deviation of sample proportions?
The standard deviation (standard error) of the sample proportion p̂ is σp̂ = sqrt[ p(1 − p) / n ]. This is for independent trials (sampling with replacement). If you sample without replacement from a finite population and your sample is more than about 10% of the population, multiply by the finite population correction √[(N − n)/(N − 1)] to get a smaller σp̂. For using the normal approximation on the AP exam, check the success–failure condition: np ≥ 10 and n(1 − p) ≥ 10. Mean of the sampling distribution is μp̂ = p. For a quick topic review see the Fiveable study guide (https://library.fiveable.me/ap-statistics/unit-5/sampling-distributions-for-sample-proportions/study-guide/Ezxev8MPpv3mFKjV4Gq3) and try practice problems (https://library.fiveable.me/practice/ap-statistics) to solidify this.
How do I know when the sampling distribution of p-hat is approximately normal?
You can treat the sampling distribution of p̂ as approximately normal when three conditions hold: 1. Independence—observations are independent (random sample or randomized experiment). If you sample without replacement, the sample size must be less than 10% of the population. 2. Success–failure (large enough n)—np ≥ 10 and n(1 − p) ≥ 10. This ensures enough expected successes and failures so the binomial is well approximated by a normal. 3. Use the sampling parameters: μp̂ = p and σp̂ = sqrt[p(1 − p)/n] (or the finite-population correction if sampling without replacement and n is not <10% of N). On the AP exam, you’ll verify those conditions before using z-approximations for proportions (CED UNC-3.L.1, UNC-3.K). For a quick refresher, check the Topic 5.5 study guide (https://library.fiveable.me/ap-statistics/unit-5/sampling-distributions-for-sample-proportions/study-guide/Ezxev8MPpv3mFKjV4Gq3). For extra practice, try problems at (https://library.fiveable.me/practice/ap-statistics).
When do I use np ≥ 10 and n(1-p) ≥ 10 and what happens if these conditions aren't met?
Use np ≥ 10 and n(1−p) ≥ 10 to check the success–failure condition for p̂. If both hold, the sampling distribution of the sample proportion is approximately normal with mean μp̂ = p and standard error √[p(1−p)/n] (CED UNC-3.L.1 and UNC-3.K.1). Also check independence: sample with replacement or n ≤ 10% of the population. If either np or n(1−p) < 10, the sampling distribution is noticeably skewed and the normal (z) approximation is unreliable. In that case don’t use z-based CI or tests—use the exact binomial model, a simulation/randomization method, or increase n so the condition holds. On the AP exam, you must verify these conditions before applying normal-approximation inference for proportions. More review and worked examples are in the Topic 5.5 study guide (https://library.fiveable.me/ap-statistics/unit-5/sampling-distributions-for-sample-proportions/study-guide/Ezxev8MPpv3mFKjV4Gq3). For extra practice, try problems at the Unit 5 page (https://library.fiveable.me/ap-statistics/unit-5) or the practice bank (https://library.fiveable.me/practice/ap-statistics).
I'm confused about the difference between p and p-hat - can someone explain this?
p is the population proportion—the true (but usually unknown) fraction of the whole population with a certain trait (a parameter). p̂ (read “p-hat”) is the sample proportion—the fraction in your sample that have the trait (a statistic, and your best point estimate of p). Key facts from the CED (Topic 5.5): - Sampling distribution: μp̂ = p (p̂ is an unbiased estimator of p). - Standard deviation (SE) of p̂ (for independent trials): σp̂ = √[p(1−p)/n]. If sampling without replacement and n > 10% of population, use the finite-population correction. - Normal approximation: p̂ is approx. Normal when np ≥ 10 and n(1−p) ≥ 10 (use these for z-tests/CIs). Interpretation tip: p is fixed (but unknown); p̂ varies from sample to sample. Use p̂ to make probabilistic statements about p via the sampling distribution. For examples and practice, see the Topic 5.5 study guide (https://library.fiveable.me/ap-statistics/unit-5/sampling-distributions-for-sample-proportions/study-guide/Ezxev8MPpv3mFKjV4Gq3) and more practice problems (https://library.fiveable.me/practice/ap-statistics).
What's the mean of the sampling distribution for sample proportions and why is it equal to p?
The mean of the sampling distribution of the sample proportion p̂ is μp̂ = p—the true population proportion. Why? Each sample proportion is just the average of n independent 0/1 “success” indicators (1 = success, 0 = failure). The expected value of each indicator is p, so the expected value of their average is also p. In other words, p̂ is an unbiased estimator of p (CED UNC-3.K.1). This holds when trials are independent (sampling with replacement or when n < 10% of the population). For large n you also get an approximately normal sampling distribution when np ≥ 10 and n(1 − p) ≥ 10 (UNC-3.L.1), which is why many inference procedures on proportions use the normal approximation. For a focused review see the Topic 5.5 study guide (https://library.fiveable.me/ap-statistics/unit-5/sampling-distributions-for-sample-proportions/study-guide/Ezxev8MPpv3mFKjV4Gq3) and try practice problems (https://library.fiveable.me/practice/ap-statistics).
How do I calculate the standard deviation when sampling without replacement vs with replacement?
If you sample with replacement (or your draws are independent), the sampling distribution of p̂ has mean μp̂ = p and standard deviation σp̂ = sqrt[p(1−p)/n]. If you sample without replacement from a finite population of size N, use the finite population correction (FPC): σp̂ = sqrt[p(1−p)/n] × sqrt((N−n)/(N−1)). That second square root shrinks the standard deviation because observations aren’t independent. If n < 0.10N, the FPC ≈ 1 and you can ignore it (that’s the 10% condition in the CED). Remember to check normality for using z-based methods: require np ≥ 10 and n(1−p) ≥ 10 (success–failure). For AP review see the Topic 5.5 study guide (https://library.fiveable.me/ap-statistics/unit-5/sampling-distributions-for-sample-proportions/study-guide/Ezxev8MPpv3mFKjV4Gq3), the Unit 5 overview (https://library.fiveable.me/ap-statistics/unit-5), and practice problems (https://library.fiveable.me/practice/ap-statistics).
Can someone walk me through finding the probability that a sample proportion is within a certain range step by step?
Step-by-step (use the normal approximation to the sampling distribution of p̂): 1. Identify p (population proportion) and n (sample size). 2. Check conditions: independent trials (10% condition if no replacement) and success–failure: np ≥ 10 and n(1−p) ≥ 10. If they fail, don’t use normal approx. 3. Mean of sampling distribution: μp̂ = p. Standard error: SE = sqrt[p(1−p)/n]. 4. Convert the proportion bounds to z-scores. For lower bound a and upper bound b compute: z_a = (a − p)/SE and z_b = (b − p)/SE. 5. Probability that p̂ is between a and b = P(z_a < Z < z_b). Use Z-table or calculator to find Φ(z_b) − Φ(z_a). 6. Interpret in context (e.g., “there’s about X% chance a random sample of n will have a sample proportion between a and b”). Quick numeric example: p=0.4, n=100, want P(|p̂−0.4|<0.05) ⇒ a=0.35, b=0.45. SE = sqrt(0.4·0.6/100)=0.049. z_a=(0.35−0.4)/0.049≈−1.02, z_b≈+1.02. P≈Φ(1.02)−Φ(−1.02)≈0.846−0.154≈0.692 (69.2%). For more AP-aligned notes and examples, see the Topic 5.5 study guide (https://library.fiveable.me/ap-statistics/unit-5/sampling-distributions-for-sample-proportions/study-guide/Ezxev8MPpv3mFKjV4Gq3) and tons of practice problems (https://library.fiveable.me/practice/ap-statistics).
When is the 10% rule important and how does it affect my calculations?
The 10% rule matters when you sample WITHOUT replacement from a finite population. AP’s formulas for the sampling distribution of p̂ (UNC-3.K.1) assume independent trials; if your sample is less than 10% of the population (n < 0.10N), those trials are “close enough” to independent and you can use σ_p̂ = sqrt[p(1−p)/n]. If n is ≥ 10% of N, independence fails and the true standard deviation is smaller by the finite population correction (FPC): σ_p̂ = sqrt{p(1−p)/n}·sqrt[(N−n)/(N−1)]. Example: from N = 10,000, samples under 1,000 meet the 10% rule. So the rule doesn’t change the mean (μ_p̂ = p) but it tells you whether to apply the FPC—otherwise you’ll slightly overestimate uncertainty. For AP review, see the Topic 5.5 study guide (https://library.fiveable.me/ap-statistics/unit-5/sampling-distributions-for-sample-proportions/study-guide/Ezxev8MPpv3mFKjV4Gq3) and more unit practice (https://library.fiveable.me/ap-statistics/unit-5).
I don't understand why we need np ≥ 10 and n(1-p) ≥ 10 for normal approximation - what's the logic behind this?
The np ≥ 10 and n(1−p) ≥ 10 rule is a practical check that the sampling distribution of p̂ will be roughly normal. p̂ comes from a binomial process (success/failure). The Central Limit Theorem says averages/proportions get approximately normal as sample size grows, but the binomial is skewed when p is near 0 or 1. Requiring at least about 10 expected successes (np) and 10 expected failures (n(1−p)) keeps both tails big enough so skew is small and the normal approximation works. Also remember independence (random sampling or 10% condition if sampling without replacement). On the AP, you need to verify these conditions before using z-based methods for proportions (CED UNC-3.L.1). For a quick review, see the Topic 5.5 study guide (https://library.fiveable.me/ap-statistics/unit-5/sampling-distributions-for-sample-proportions/study-guide/Ezxev8MPpv3mFKjV4Gq3), the Unit 5 overview (https://library.fiveable.me/ap-statistics/unit-5), and practice problems (https://library.fiveable.me/practice/ap-statistics).
What's the formula σp̂ = √(p(1-p)/n) and when do I use it?
σp̂ = √(p(1 − p)/n) is the standard deviation (standard error) of the sampling distribution of a sample proportion p̂. Use it when you’re modeling repeated independent trials of a categorical variable (binomial setting) and you want how much p̂ typically varies around the true population proportion p. Key points from the CED: μp̂ = p and σp̂ = √(p(1−p)/n) when sampling with replacement or when trials are independent. If sampling without replacement, the SD is a bit smaller—you can ignore that difference when n < 0.10·N. To use a normal approximation (so you can compute z-scores or CIs), check the success–failure condition: np ≥ 10 and n(1−p) ≥ 10. The AP exam provides relevant formulas/tables; make sure to report context and units when interpreting probabilities. For a focused walkthrough, see the Topic 5.5 study guide (https://library.fiveable.me/ap-statistics/unit-5/sampling-distributions-for-sample-proportions/study-guide/Ezxev8MPpv3mFKjV4Gq3). For more practice, try Fiveable’s AP Stats problems (https://library.fiveable.me/practice/ap-statistics).
How do I solve problems where they ask for the probability that p-hat is greater than some value?
You do it the same way you’d find any tail probability for a sampling distribution of p̂—check conditions, get the sampling mean and standard error, convert to a z-score, then use the normal table (or your calculator). Steps: 1. Check success–failure: np ≥ 10 and n(1 − p) ≥ 10 (if sampling without replacement, also check n < 0.10·N). 2. Mean: μp̂ = p. Standard error: SE = sqrt[p(1 − p)/n]. 3. For P(p̂ > a), compute z = (a − p)/SE. Then P(p̂ > a) = P(Z > z) = 1 − Φ(z). Example: p = 0.4, n = 100, a = 0.45 → SE = sqrt(.4·.6/100)=.049; z = (0.45−0.40)/.049 ≈ 1.02; P ≈ 1 − Φ(1.02) ≈ 0.153. Use your calculator’s normalcdf or a Z-table. AP tip: always state conditions and interpret probability in context. For a quick topic review see the Fiveable study guide (https://library.fiveable.me/ap-statistics/unit-5/sampling-distributions-for-sample-proportions/study-guide/Ezxev8MPpv3mFKjV4Gq3) and try practice problems (https://library.fiveable.me/practice/ap-statistics).
What does it mean that the standard deviation is smaller when sampling without replacement?
It means your sample proportions vary less when you draw without replacement because draws are no longer independent—once you pick a “success,” there are fewer successes left in the pool, so later draws are slightly less variable. The center of the sampling distribution stays the same (μ_p̂ = p), but the standard deviation (standard error) is reduced by the finite population correction (FPC): multiply √(p(1–p)/n) by √((N–n)/(N–1)). Practically, APs expect you to know that if n < 10% of N, the FPC ≈ 1 and you can ignore it (the 10% condition for independence). If n is a substantial fraction of N, use the FPC so your SE is smaller and confidence intervals/tests are narrower—i.e., more precise. For a quick review, see the Topic 5.5 study guide (https://library.fiveable.me/ap-statistics/unit-5/sampling-distributions-for-sample-proportions/study-guide/Ezxev8MPpv3mFKjV4Gq3) and more unit review at (https://library.fiveable.me/ap-statistics/unit-5). Practice problems: (https://library.fiveable.me/practice/ap-statistics).
I missed class - what's the difference between population proportion and sample proportion in context problems?
Population proportion p is the true (but usually unknown) fraction of the whole population with some trait—e.g., 0.35 of all teens prefer brand A. Sample proportion p̂ is the fraction you actually observe in your sample—e.g., 14/40 = 0.35. For Topic 5.5 the key ideas: the sampling distribution of p̂ has mean μp̂ = p and standard error σp̂ = sqrt[p(1−p)/n] (use finite-pop correction only when sample >10% of population). The CLT for proportions says p̂ is approximately Normal when np ≥ 10 and n(1−p) ≥ 10. So p is the parameter (what you’re trying to learn about) and p̂ is the statistic (your estimate, with variability you can quantify). On the AP exam you’ll be asked to identify these, compute the SE, check success–failure and 10% conditions, and interpret probabilities in context. For topic review check Fiveable’s study guide (https://library.fiveable.me/ap-statistics/unit-5/sampling-distributions-for-sample-proportions/study-guide/Ezxev8MPpv3mFKjV4Gq3), unit overview (https://library.fiveable.me/ap-statistics/unit-5) and practice problems (https://library.fiveable.me/practice/ap-statistics).
How do I interpret the parameters of a sampling distribution in word problems about proportions?
Think of the sampling distribution of p̂ as the long-run behavior of the sample proportion when you repeat the same random sampling process many times. Two parameters you’ll need to interpret in context: - Mean μp̂ = p: this equals the true population proportion. In words: “On average, the sample proportion will be p (e.g., 0.34 of adults).” Always name the population and the unit (proportion or percent). - Standard deviation (standard error) σp̂ = √[p(1−p)/n]: this measures how much p̂ typically varies from sample to sample. In words: “Typical difference between p̂ and p is about √[p(1−p)/n].” If sampling without replacement and n > 10% of the population, apply the finite-population correction. Also check normal approx conditions: np ≥ 10 and n(1−p) ≥ 10 (and independence). When answering AP questions (UNC-3.M) always state numbers, units, population, and whether probabilities refer to repeated samples. For a quick review see the Topic 5.5 study guide (https://library.fiveable.me/ap-statistics/unit-5/sampling-distributions-for-sample-proportions/study-guide/Ezxev8MPpv3mFKjV4Gq3) and more unit review (https://library.fiveable.me/ap-statistics/unit-5). For practice, try problems at (https://library.fiveable.me/practice/ap-statistics).
Why does the sampling distribution of sample proportions become normal as sample size increases?
Because p̂ is the average of many independent 0/1 trial outcomes (success = 1, failure = 0), the Central Limit Theorem (CLT) applies: as the number of independent trials n gets large, the distribution of that average becomes approximately normal. For proportions this means p̂ has mean μp̂ = p and standard error σp̂ = sqrt[p(1−p)/n]. The AP CED turns that into a simple rule you can use on the exam: the sampling distribution of p̂ is approximately normal when np ≥ 10 and n(1−p) ≥ 10 (the success–failure condition). Intuitively, larger n shrinks the SE and averages out the discrete binomial bumps so the histogram of many p̂’s looks bell-shaped. For a quick refresher and practice, check the Topic 5.5 study guide (https://library.fiveable.me/ap-statistics/unit-5/sampling-distributions-for-sample-proportions/study-guide/Ezxev8MPpv3mFKjV4Gq3) and hit more practice problems at (https://library.fiveable.me/practice/ap-statistics).