Multistep methods are powerful numerical techniques for solving ordinary differential equations. They use information from multiple previous steps to compute the next solution value, offering improved accuracy and efficiency for certain problems compared to single-step methods.
These methods come in various forms, including Adams-Bashforth, Adams-Moulton, and backward differentiation formulas. Each type has unique characteristics in terms of order, stability, and suitability for different types of ODEs, from non-stiff to stiff problems.
Overview of multistep methods
- Numerical techniques for solving ordinary differential equations (ODEs) in Numerical Analysis II
- Utilize information from multiple previous steps to compute the next solution value
- Offer improved accuracy and efficiency compared to single-step methods for certain types of problems
Linear multistep methods
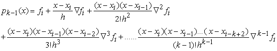
Adams-Bashforth methods
- Explicit multistep methods for solving initial value problems
- Use polynomial interpolation of past function values to predict future solutions
- General form:
- Order of accuracy increases with the number of steps used (k)
- Commonly used variants include 2-step, 3-step, and 4-step formulas
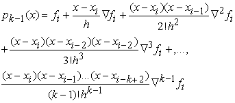
Adams-Moulton methods
- Implicit multistep methods that offer improved stability over Adams-Bashforth
- Include the yet-to-be-computed solution in the formula
- General form:
- Typically one order higher accuracy than Adams-Bashforth for the same number of steps
- Often used in combination with Adams-Bashforth in predictor-corrector schemes
Backward differentiation formulas
- Implicit multistep methods designed for stiff differential equations
- Approximate the derivative using backward differences of the solution
- General form:
- Offer excellent stability properties for stiff problems
- BDF methods of orders 1 to 6 are commonly used in practice
Order and stability
Order of accuracy
- Measure of how quickly the local truncation error decreases as step size decreases
- Determined by comparing the method's expansion to the Taylor series expansion
- Higher-order methods generally provide more accurate solutions for smooth problems
- Order p implies local truncation error is O(h^(p+1))
- Trade-off between order of accuracy and computational cost
Stability regions
- Set of complex values z = hλ for which the numerical method remains stable
- Visualized using root locus plots or stability region diagrams
- Absolute stability ensures bounded solutions for linear test equation y' = λy
- Relative stability compares numerical solution growth to exact solution growth
- Different multistep methods have varying stability region shapes and sizes
A-stability vs A(α)-stability
- A-stability describes methods stable for all Re(z) < 0 in complex plane
- Rare for multistep methods (only achievable for implicit methods up to order 2)
- A(α)-stability relaxes condition to wedge-shaped region in left half-plane
- Angle α determines extent of stability region (larger α more desirable)
- BDF methods of orders 1 and 2 are A-stable, higher orders are A(α)-stable
Predictor-corrector methods
PECE methods
- Combine explicit (predictor) and implicit (corrector) formulas
- P: Predict using explicit method (Adams-Bashforth)
- E: Evaluate function using predicted value
- C: Correct using implicit method (Adams-Moulton)
- E: Evaluate function using corrected value
- Offer balance between stability of implicit methods and efficiency of explicit methods

PECEC methods
- Extension of PECE methods with additional correction step
- P: Predict using explicit method
- E: Evaluate function using predicted value
- C: Correct using implicit method
- E: Evaluate function using corrected value
- C: Perform second correction
- Can provide improved accuracy at the cost of additional function evaluations
Error analysis
Local truncation error
- Error introduced in a single step assuming previous values are exact
- Typically expressed as a power series in the step size h
- Leading term determines the order of the method
- Can be estimated using Richardson extrapolation or embedded formulas
- Used to adapt step size in variable step size implementations
Global truncation error
- Cumulative effect of local truncation errors over the entire integration interval
- Generally one order lower than the local truncation error
- Influenced by error propagation and stability properties of the method
- Can be estimated using Richardson extrapolation or by comparing to a higher-order method
- Critical for assessing overall accuracy of the numerical solution
Implementation considerations
Starting values
- Multistep methods require k initial values to begin integration
- Can be obtained using single-step methods (Runge-Kutta) or Taylor series expansion
- Accuracy of starting values crucial for overall method performance
- May use lower-order formulas or smaller step sizes for initial steps
- Self-starting methods (Gear's method) can generate their own starting values
Variable step size
- Allows adaptation of step size to control error and improve efficiency
- Requires interpolation or extrapolation of past values when changing step size
- Error estimation techniques (embedded formulas, Richardson extrapolation) guide step size selection
- Nordsieck representation facilitates easy step size changes
- Must balance accuracy gains against computational overhead of frequent step size changes
Comparison with single-step methods
Efficiency vs accuracy
- Multistep methods generally more efficient for same order of accuracy
- Require fewer function evaluations per step than equivalent Runge-Kutta methods
- Higher-order multistep methods can maintain accuracy with larger step sizes
- Single-step methods easier to implement and more flexible for changing step sizes
- Trade-off between computational cost and solution accuracy depends on problem characteristics
Stability vs flexibility
- Single-step methods generally have larger stability regions
- Multistep methods can achieve higher order with fewer stages
- Implicit multistep methods (BDF) excel for stiff problems
- Single-step methods more easily adapt to changing problem dynamics
- Multistep methods require special techniques for frequent step size changes or discontinuities

Applications in ODEs
Initial value problems
- Multistep methods widely used for solving initial value problems
- Particularly effective for problems requiring long-time integration
- Adams methods popular for non-stiff problems in celestial mechanics and orbital dynamics
- BDF methods preferred for stiff problems in chemical kinetics and circuit simulation
- Variable-order, variable-step size implementations offer adaptivity to problem characteristics
Boundary value problems
- Multistep methods can be adapted for boundary value problems using shooting techniques
- Multiple shooting methods combine multistep integration with root-finding algorithms
- Collocation methods based on multistep formulas used for direct solution of BVPs
- Finite difference methods for BVPs can be derived from multistep formulas
- Stability and accuracy considerations differ from initial value problem applications
Advanced multistep techniques
General linear methods
- Unify and extend ideas from linear multistep and Runge-Kutta methods
- Allow for multiple input and output values at each step
- Can achieve higher order and stability properties than traditional methods
- Include methods like (DIMSIM) and (BVMS)
- Offer flexibility in balancing accuracy, stability, and computational efficiency
Nordsieck methods
- Represent solution using Nordsieck vector (solution and scaled derivatives)
- Facilitate easy change of step size and order
- Allow efficient implementation of variable step size, variable order algorithms
- Basis for popular ODE solvers (VODE, LSODE)
- Provide natural framework for continuous output and dense output methods
Convergence analysis
Consistency and zero-stability
- Consistency ensures method approaches true solution as step size approaches zero
- Requires method to exactly solve constant and linear functions
- Zero-stability guarantees bounded error growth for fixed step size as total steps increase
- Necessary condition for convergence of linear multistep methods
- Analyzed using characteristic polynomials of the method
Dahlquist equivalence theorem
- Establishes equivalence between consistency, zero-stability, and convergence
- States that a consistent and zero-stable linear multistep method converges
- Convergence order equals minimum of consistency order and zero-stability order
- Fundamental result in the theory of linear multistep methods
- Guides the design and analysis of new multistep methods
Numerical experiments
Test problems
- Standard set of ODEs used to evaluate performance of multistep methods
- Include non-stiff problems (harmonic oscillator, Kepler problem)
- Stiff test problems (Van der Pol oscillator, Robertson chemical kinetics problem)
- Problems with known analytical solutions for error analysis
- Challenging problems to test stability and accuracy limits of methods
Error growth analysis
- Study how errors accumulate and propagate in long-time integrations
- Examine relationship between local and global errors
- Investigate impact of floating-point arithmetic on error accumulation
- Analyze error behavior near stability boundaries
- Compare theoretical error bounds with observed numerical results