Lagrange interpolation is a powerful technique for constructing polynomials that pass through given data points. It's a key method in approximating functions and fitting data, making it essential for various scientific and engineering applications.
The formula uses Lagrange basis polynomials to create a unique polynomial of degree โค n-1 for n data points. This method's versatility and mathematical foundations make it a cornerstone in computational mathematics and numerical analysis.
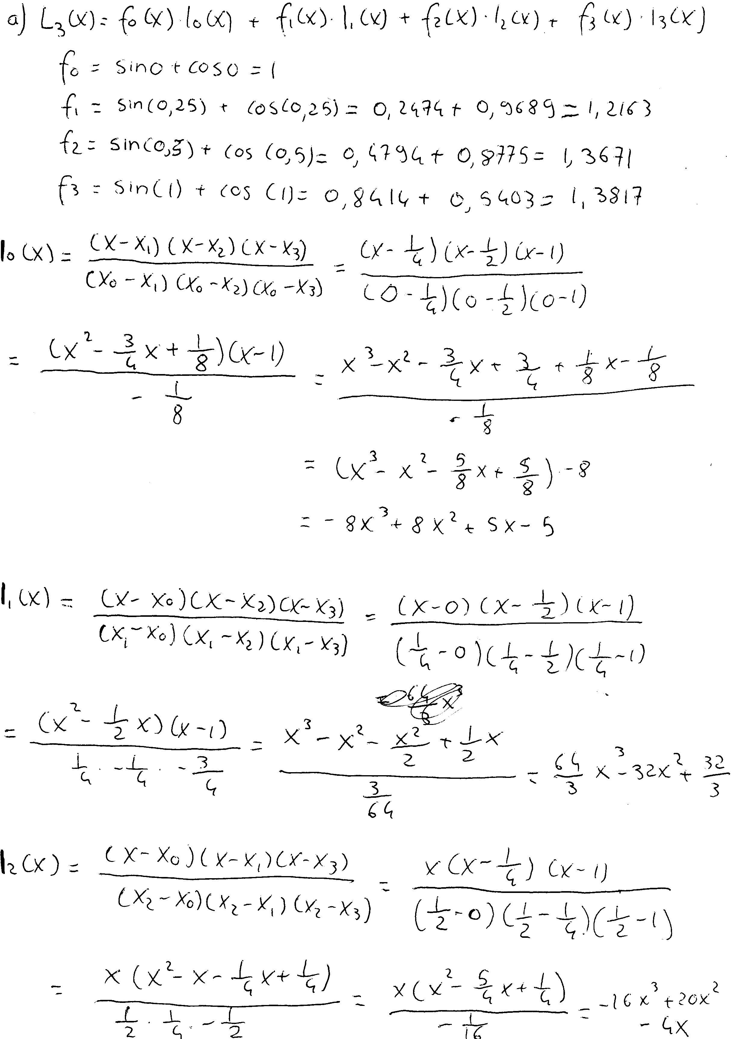
Lagrange Interpolation Formula
Polynomial Construction and Properties
- Lagrange interpolation constructs a unique polynomial of degree โค n-1 passing through n given data points
- Formula expressed as , where yi are function values and Li(x) are Lagrange basis polynomials
- Resulting polynomial P(x) passes through all given data points (xi, yi)
- Uniqueness based on fundamental theorem of algebra and n-1 degree polynomial determined by n points
- Applications include function approximation, numerical integration, and data fitting in scientific and engineering fields (computational fluid dynamics, signal processing)
Mathematical Foundations
- Lagrange basis polynomials Li(x) defined as , where xi are given data points
- Each Li(x) has property Li(xj) = 1 if i = j, and Li(xj) = 0 if i โ j, ensuring interpolation
- Computation involves calculating product of linear terms (x - xj) / (xi - xj) for all j โ i
- Efficient algorithms often use nested multiplication and Horner's method for polynomial evaluation
- Numerical stability crucial, especially for large data sets or closely spaced points

Lagrange Basis Polynomials
Computation and Construction
- Fundamental building blocks of Lagrange interpolation formula, each corresponding to specific data point
- Computation involves product of linear terms for all j โ i
- Construction of interpolating polynomial requires computing all basis polynomials
- Weighted sum of basis polynomials formed using given function values
- Example: For data points (1, 2), (2, 3), (3, 5), basis polynomials are:

Properties and Applications
- Each Li(x) equals 1 at its corresponding point and 0 at others
- Sum of all basis polynomials equals 1 for any x value
- Used in numerical integration techniques (Gaussian quadrature)
- Basis for constructing other interpolation methods (Hermite interpolation)
- Can be generalized to multidimensional interpolation (tensor product Lagrange polynomials)
Error Bounds and Convergence of Lagrange Interpolation
Error Analysis
- Error formula: , where ฮพ is in interval containing x and all xi
- Error bound depends on function smoothness and interpolation point distribution
- Runge's phenomenon shows oscillations and divergence near endpoints for equally spaced points (example: Runge function on [-1, 1])
- Lebesgue constant measures stability and affects convergence properties
Convergence Properties and Improvements
- Guaranteed convergence for continuous functions on closed interval using Chebyshev nodes
- Chebyshev nodes defined as , k = 1, ..., n
- Adaptive node selection strategies improve convergence and stability (Chebyshev points, Leja points)
- Barycentric form of Lagrange interpolation enhances numerical stability
- Error can be reduced by increasing polynomial degree or using piecewise interpolation (splines)