Chemical reactions are the heart of many industrial processes. Understanding reaction kinetics helps engineers predict how fast reactions occur and design efficient reactors. This knowledge is crucial for optimizing production and controlling product quality in chemical plants.
Advanced kinetic theories delve deeper into reaction mechanisms and rate equations. These theories consider factors like temperature, pressure, and catalysts, enabling more accurate reactor design. By applying these concepts, engineers can improve process efficiency and develop innovative solutions for complex chemical systems.
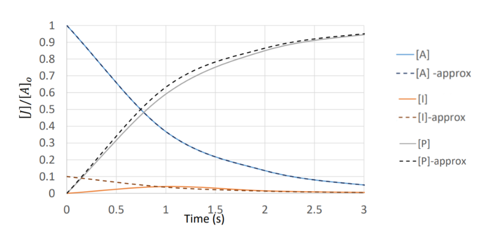
Reaction Kinetics and Rate Equations
Analysis of reaction mechanisms
- Complex reaction mechanisms involve multiple elementary steps with intermediates and stable species
- Steady-state approximation assumes concentration of intermediates remains constant enabling derivation of rate equations for complex mechanisms
- Rate-determining step is the slowest step in a reaction mechanism and determines overall rate of reaction
- Deriving rate equations involves expressing rate in terms of reactants and intermediates, applying steady-state approximation to intermediates, and simplifying rate equation by identifying rate-determining step

Models for non-elementary reactions
- Non-elementary reactions proceed through multiple steps and cannot be described by a single rate equation
- Michaelis-Menten kinetics describes enzyme-catalyzed reactions accounting for enzyme-substrate complex formation with rate equation $v = \frac{V_{max}[S]}{K_M + [S]}$
- Langmuir-Hinshelwood mechanism describes surface-catalyzed reactions accounting for adsorption and desorption of reactants and products with rate equation depending on surface coverage of species
- Multiple reaction pathways involve parallel or competing reactions with overall rate being the sum of rates of individual pathways

Advanced Kinetic Theories and Reactor Design
Effects on reaction rates
- Arrhenius equation relates rate constant to temperature with $k = Ae^{-E_a/RT}$ involving activation energy ($E_a$) and pre-exponential factor ($A$)
- Collision theory states reaction rate depends on collision frequency and energy accounting for orientation factor and steric effects
- Transition state theory proposes reaction proceeds through formation of activated complex with rate depending on concentration of activated complex and accounting for entropy changes during reaction
- Pressure effects involve increase in pressure favoring reactions with negative activation volume and decrease in pressure favoring reactions with positive activation volume
- Composition effects mean reaction rate depends on concentrations of reactants with order of reaction determined by experimental data
Mathematical models for reactors
-
Batch reactor has concentration varying with time and mass balance $\frac{dC_A}{dt} = -rA$
-
Continuous stirred-tank reactor (CSTR) operates at steady-state with mass balance $Q(C_{A0} - C_A) = VrA$
-
Plug-flow reactor (PFR) has concentration varying with position and mass balance $\frac{dF_A}{dV} = -rA$
-
Incorporating advanced reaction kinetics involves using derived rate equations in mass balance expressions, solving differential equations analytically or numerically, and determining reactor size, conversion, and selectivity
-
Optimizing reactor performance aims to maximize desired product yield and selectivity while minimizing side reactions and byproduct formation by adjusting operating conditions based on kinetic parameters