Diagonalization is a powerful tool in linear algebra with diverse applications. From solving differential equations to analyzing data and quantum systems, it simplifies complex problems by transforming matrices into more manageable forms.
By breaking down matrices into eigenvalues and eigenvectors, diagonalization unlocks insights in physics, economics, and machine learning. It's the key to understanding oscillations, reducing data dimensions, and revealing quantum energy states.
Real-world problems for diagonalization
Physical systems and differential equations
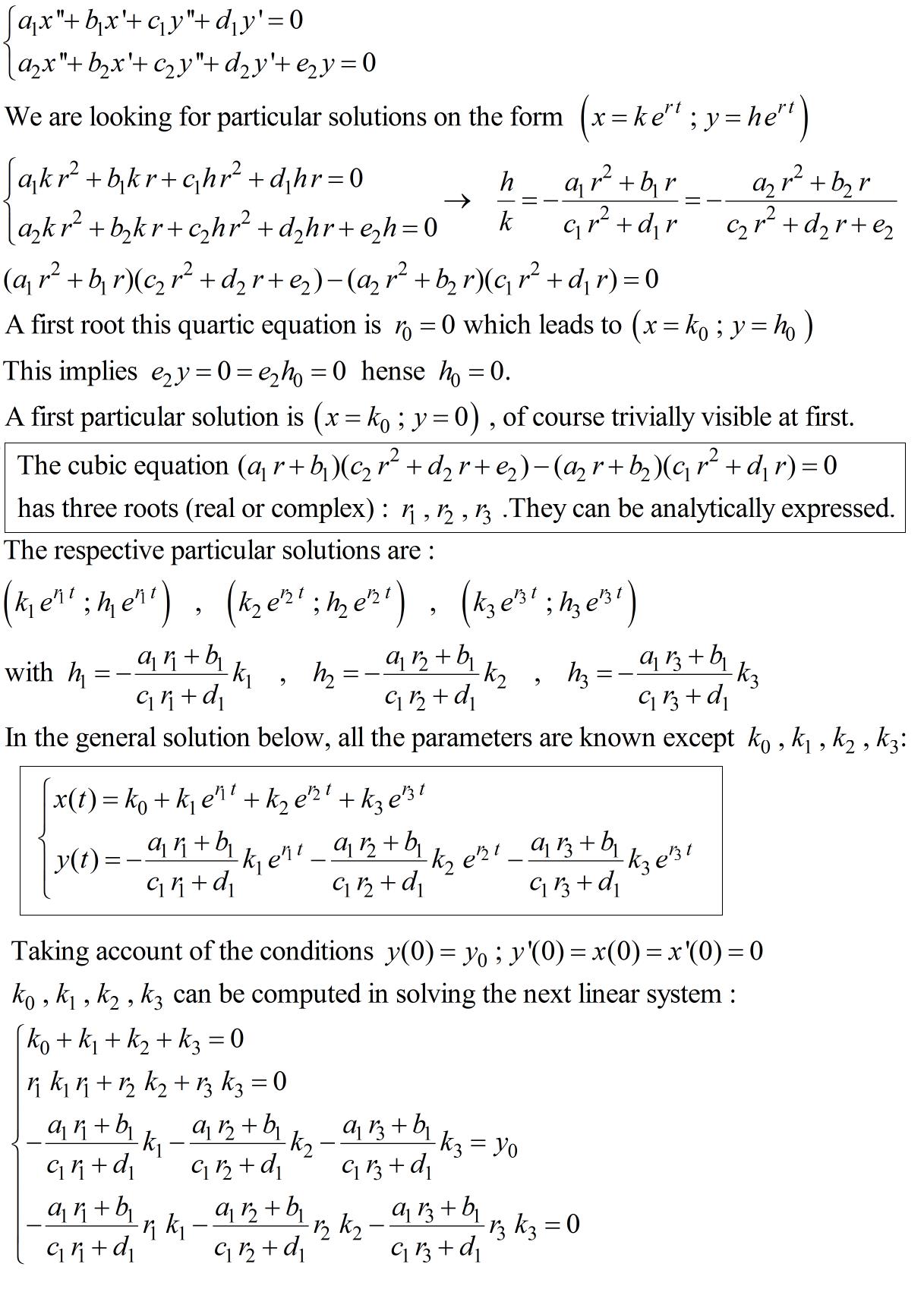
- Many physical systems, such as coupled oscillators or vibrating structures, can be modeled using systems of linear differential equations, which can be solved using diagonalization
- Diagonalization is a powerful tool for simplifying and solving various linear algebra problems that arise in real-world applications
- In the study of small oscillations, diagonalizing the matrix of the potential energy quadratic form leads to the normal modes and frequencies of the coupled oscillators
- Diagonalization can be applied to problems in economics, such as analyzing input-output models and studying the long-term behavior of economic systems
Data analysis and dimensionality reduction
- Diagonalization is used in data analysis and machine learning for tasks such as principal component analysis (PCA) and singular value decomposition (SVD) to reduce the dimensionality of datasets and extract important features
- In computer graphics and image processing, diagonalization is used for tasks such as image compression, feature extraction, and pattern recognition
- PCA uses orthogonal transformation to convert a set of possibly correlated variables into a set of linearly uncorrelated variables called principal components
- SVD decomposes a matrix into the product of three matrices: U, ฮฃ, and V^T, where U and V are orthogonal matrices, and ฮฃ is a diagonal matrix of singular values
Diagonalization for differential equations

Representing systems of linear differential equations
- Systems of linear differential equations can be represented using matrices, where the coefficients of the variables form the entries of the matrix
- To solve a system of linear differential equations using diagonalization, the coefficient matrix must be diagonalizable, meaning it has a set of linearly independent eigenvectors that span the entire vector space
- The process of diagonalization involves finding the eigenvalues and eigenvectors of the coefficient matrix
Solving systems of linear differential equations
- Once the eigenvalues and eigenvectors are found, the coefficient matrix can be decomposed into the product of three matrices: P, D, and P^(-1), where P is the matrix of eigenvectors, D is the diagonal matrix of eigenvalues, and P^(-1) is the inverse of P
- The original system of differential equations can be transformed into a new system using the change of basis defined by the eigenvectors, resulting in a set of uncoupled differential equations that can be solved independently
- The solutions to the uncoupled differential equations can be transformed back to the original basis using the inverse change of basis, yielding the solution to the original system of differential equations
- Diagonalization simplifies the process of solving systems of linear differential equations by decoupling the equations and allowing them to be solved independently
Diagonalization in data analysis

Principal Component Analysis (PCA)
- PCA is a statistical method that uses orthogonal transformation to convert a set of possibly correlated variables into a set of linearly uncorrelated variables called principal components
- The principal components are the eigenvectors of the covariance matrix of the dataset, ordered by their corresponding eigenvalues
- The eigenvalues represent the amount of variance captured by each principal component, allowing for the selection of a subset of principal components that capture the most significant information in the dataset
- By selecting a subset of the most significant principal components, the dimensionality of the dataset can be reduced while preserving the most important information, which is useful for visualization, noise reduction, and computational efficiency
Singular Value Decomposition (SVD)
- SVD is a matrix factorization technique that decomposes a matrix into the product of three matrices: U, ฮฃ, and V^T, where U and V are orthogonal matrices, and ฮฃ is a diagonal matrix of singular values
- The columns of U and V represent the left and right singular vectors, which can be interpreted as the principal components of the row and column spaces of the original matrix, respectively
- The singular values in ฮฃ are the square roots of the eigenvalues of the covariance matrices of the row and column spaces, indicating the importance of each singular vector in capturing the structure of the data
- SVD is used in various applications, such as data compression, noise reduction, and collaborative filtering (recommender systems)
Diagonalization in quantum mechanics
Quantum states and observables
- Quantum mechanics heavily relies on linear algebra and diagonalization to describe the states and evolution of quantum systems
- The state of a quantum system is represented by a vector in a complex Hilbert space, and observables (such as position, momentum, and energy) are represented by Hermitian operators acting on this space
- The Schrรถdinger equation, which governs the time evolution of a quantum system, is an eigenvalue problem involving the Hamiltonian operator, which represents the total energy of the system
Energy eigenvalues and eigenstates
- Diagonalizing the Hamiltonian matrix yields the energy eigenvalues and eigenstates of the quantum system, which are the possible outcomes of energy measurements and the corresponding state vectors
- The eigenstates of the Hamiltonian form a complete orthonormal basis for the Hilbert space, allowing any state vector to be expressed as a linear combination of these eigenstates
- The transition from one state to another can be described using the projection of the initial state onto the eigenstates of the observable being measured, with the probabilities of each outcome given by the squared magnitudes of the projection coefficients
- Diagonalization is crucial for understanding the energy levels, transitions, and dynamics of quantum systems, such as atoms, molecules, and solid-state materials