Differential forms and de Rham cohomology are key tools for understanding manifolds. They generalize vector calculus concepts, allowing us to work with complex geometric objects and uncover their topological properties.
These ideas form the foundation for Hodge theory, which connects geometry and topology. By studying differential forms and cohomology, we can analyze harmonic forms and gain deeper insights into manifold structure.
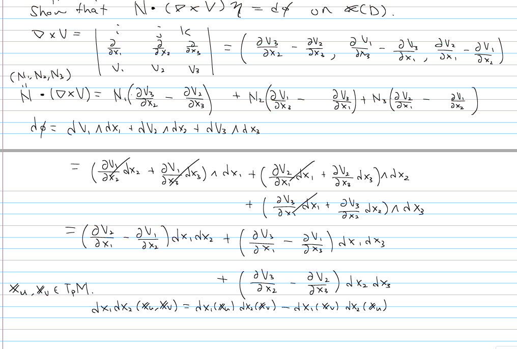
Differential Forms and Exterior Derivative
Understanding Differential Forms
- Differential forms generalize concepts from vector calculus to manifolds
- k-forms represent multilinear, alternating functions on tangent vectors
- 0-forms correspond to scalar fields on manifolds
- 1-forms equate to covector fields or dual vector fields
- Higher-degree forms (2-forms, 3-forms) represent more complex mathematical objects
- Wedge product combines differential forms to create higher-degree forms
- Basis for k-forms on an n-dimensional manifold includes $\binom{n}{k}$ elements

Exterior Derivative and Form Properties
- Exterior derivative maps k-forms to (k+1)-forms
- Exterior derivative generalizes gradient, curl, and divergence operators from vector calculus
- Closed forms satisfy $d\omega = 0$, where $d$ represents the exterior derivative
- Exact forms can be expressed as $\omega = d\alpha$ for some differential form $\alpha$
- All exact forms are closed due to the property $d^2 = 0$
- Converse does not always hold (closed forms may not be exact)
- Stokes' theorem connects integration of forms to exterior derivative

de Rham Cohomology
de Rham Complex and Cohomology Groups
- de Rham complex consists of a sequence of vector spaces and linear maps
- Sequence takes form: $0 \to \Omega^0(M) \xrightarrow{d} \Omega^1(M) \xrightarrow{d} \Omega^2(M) \xrightarrow{d} \cdots$
- $\Omega^k(M)$ represents the space of smooth k-forms on manifold M
- de Rham cohomology groups measure obstruction to exactness in de Rham complex
- kth de Rham cohomology group defined as $H^k_{dR}(M) = \frac{\text{ker}(d: \Omega^k(M) \to \Omega^{k+1}(M))}{\text{im}(d: \Omega^{k-1}(M) \to \Omega^k(M))}$
- Cohomology groups provide topological invariants of manifolds
- Betti numbers, derived from cohomology groups, offer insight into manifold topology
Key Theorems and Applications
- Poincaré lemma states that every closed form on a contractible open set becomes exact
- Lemma provides local characterization of closed and exact forms
- Mayer-Vietoris sequence relates cohomology of a space to cohomology of its subspaces
- Sequence takes form: $\cdots \to H^k(A \cup B) \to H^k(A) \oplus H^k(B) \to H^k(A \cap B) \to H^{k+1}(A \cup B) \to \cdots$
- Mayer-Vietoris sequence facilitates computation of cohomology groups for complex spaces
- de Rham cohomology connects to other cohomology theories (singular cohomology)
- Applications include topological classification of manifolds and analysis of vector fields