Wavefunctions are the backbone of quantum mechanics, describing the behavior of particles at the atomic level. They're complex mathematical functions that give us the probability of finding a particle in a specific location, connecting the abstract world of quantum physics to measurable outcomes.
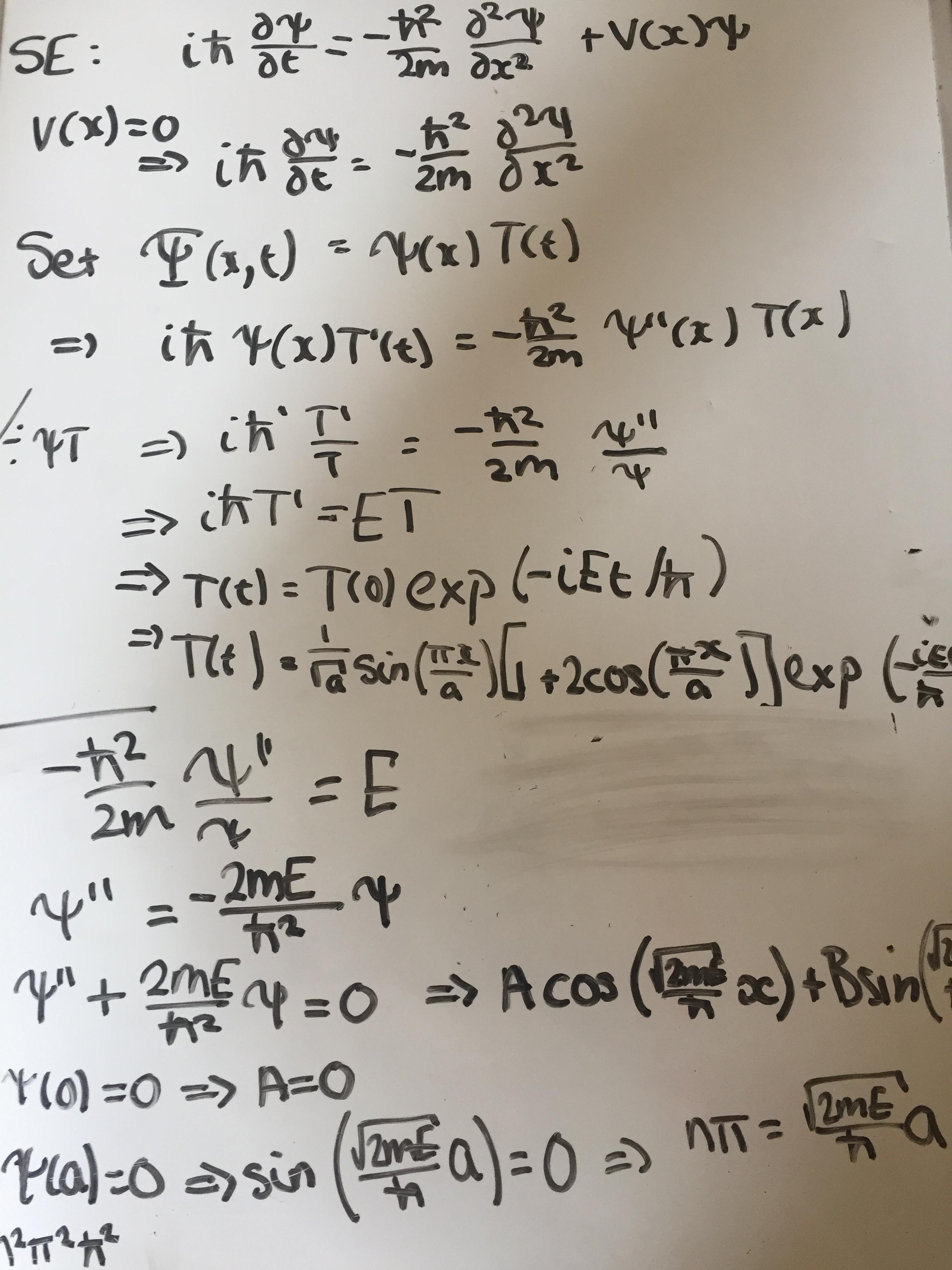
Understanding wavefunctions is crucial for grasping the Schrödinger equation, which governs how quantum systems evolve over time. By studying wavefunctions, we can predict particle behavior, calculate energy levels, and unlock the mysteries of the quantum realm.
Wavefunction Properties
Fundamentals of Wavefunctions
- A wavefunction, typically denoted as $Ψ(x, t)$, is a complex-valued function that completely describes the quantum state of a particle or system
- Wavefunctions are solutions to the Schrödinger equation, which is a fundamental equation in quantum mechanics that describes the time evolution of a quantum system
- The physical interpretation of the wavefunction is based on the Born rule, which states that the probability of finding a particle at a specific location is proportional to the square of the absolute value of the wavefunction at that location
- The phase of a wavefunction is related to the complex nature of the wavefunction and can be interpreted as the relative timing of the wave at different points in space
Essential Properties of Wavefunctions
- Normalization: The integral of the probability density over all space must equal 1, ensuring that the particle exists somewhere in space
- This property is essential for maintaining a consistent probabilistic interpretation of the wavefunction
- Mathematically, the normalization condition is expressed as $∫|Ψ(x, t)|^2 dx = 1$
- Continuity: The wavefunction and its first derivative must be continuous everywhere, except at points where the potential energy is infinite
- Continuity ensures that the wavefunction is well-behaved and differentiable, which is necessary for applying quantum mechanical operators
- Discontinuities in the wavefunction or its derivative can occur when there is an infinite potential energy barrier (e.g., a particle in a box)
- Single-valued: The wavefunction must have a single value at every point in space to maintain a consistent description of the quantum system
- Having multiple values for the wavefunction at a single point would lead to ambiguity in the physical interpretation
- This property is crucial for the proper application of quantum mechanical principles and calculations
Probability from Wavefunctions
Probability Density and Its Calculation
- The probability density, denoted as $ρ(x, t)$, is the square of the absolute value of the wavefunction: $ρ(x, t) = |Ψ(x, t)|^2$
- It represents the probability of finding the particle at a specific location $x$ at time $t$
- The probability density is always real and non-negative, as it is the square of the absolute value of the wavefunction
- To calculate the probability of finding a particle in a specific region, integrate the probability density over that region: $P(a ≤ x ≤ b) = ∫(a to b) |Ψ(x, t)|^2 dx$
- This integral gives the probability of finding the particle between points $a$ and $b$ at a given time $t$
- The limits of integration depend on the region of interest and can span the entire space or a specific interval

Probability Current and Continuity Equation
- The probability current, denoted as $J(x, t)$, represents the flow of probability density in space and is given by: $J(x, t) = (ℏ/2mi) [Ψ*(x, t) ∂Ψ(x, t)/∂x - Ψ(x, t) ∂Ψ*(x, t)/∂x]$
- $ℏ$ is the reduced Planck's constant, $m$ is the mass of the particle, and $i$ is the imaginary unit
- The probability current is a complex quantity that describes the direction and magnitude of the flow of probability density
- The probability current is related to the continuity equation, which states that the rate of change of the probability density at a point is equal to the negative divergence of the probability current at that point: $∂ρ(x, t)/∂t + ∇⋅J(x, t) = 0$
- This equation expresses the conservation of probability, ensuring that probability is neither created nor destroyed in a closed system
- It connects the temporal change in probability density with the spatial change in probability current
Wavefunctions and Measurables
Observables and Operators
- Measurable quantities in quantum mechanics are represented by Hermitian operators acting on the wavefunction
- Hermitian operators have real eigenvalues, which correspond to the possible measurement outcomes
- Examples of observables include position ($\hat{x}$), momentum ($\hat{p}$), and energy ($\hat{H}$)
- The expectation value of an observable, denoted as $⟨A⟩$, is the average value of the observable over many measurements and is calculated using the integral: $⟨A⟩ = ∫ Ψ*(x, t) \hat{A} Ψ(x, t) dx$
- $\hat{A}$ is the operator corresponding to the observable $A$
- The expectation value provides a connection between the abstract wavefunction and the measurable properties of a quantum system
Uncertainty Principle and Wavefunction Collapse
- The uncertainty principle states that the product of the standard deviations of two complementary observables (e.g., position and momentum) is always greater than or equal to $ℏ/2$
- This principle arises from the wave-particle duality of quantum systems and the properties of wavefunctions
- It sets a fundamental limit on the precision with which certain pairs of physical properties can be determined simultaneously
- The collapse of the wavefunction occurs when a measurement is made on a quantum system, causing the wavefunction to instantaneously reduce to one of the eigenstates of the measured observable
- Before the measurement, the system is in a superposition of eigenstates, and the wavefunction contains information about all possible measurement outcomes
- After the measurement, the wavefunction "collapses" to a single eigenstate, corresponding to the observed measurement outcome
![Fundamentals of Wavefunctions, Schrödinger Equation [The Physics Travel Guide]](https://storage.googleapis.com/static.prod.fiveable.me/search-images%2F%22Fundamentals_of_wavefunctions_in_quantum_mechanics_Schr%C3%B6dinger_equation_Born_rule_probability_interpretation_complex_phase%22-wavefunction.png%3Fw%3D500%26tok%3Dcdb23b.png)
Wavefunction Behavior in Systems
Infinite Square Well and Harmonic Oscillator
- In the infinite square well potential, the wavefunctions are standing waves with nodes at the boundaries and are characterized by discrete energy levels and quantum numbers
- The energy levels are given by $E_n = n^2h^2/8mL^2$, where $n$ is the quantum number, $h$ is Planck's constant, $m$ is the particle's mass, and $L$ is the width of the well
- The wavefunctions for the infinite square well are sinusoidal functions with the form $Ψ_n(x) = \sqrt{2/L} \sin(nπx/L)$
- For the harmonic oscillator potential, the wavefunctions are described by Hermite polynomials and have a Gaussian envelope, with the ground state being the most localized
- The energy levels are given by $E_n = (n + 1/2)ℏω$, where $n$ is the quantum number and $ω$ is the angular frequency of the oscillator
- The ground state wavefunction ($n=0$) is a Gaussian function, and excited states have additional nodes and a wider spatial extent
Hydrogen Atom and Quantum Tunneling
- In the case of the hydrogen atom, the wavefunctions are described by spherical harmonics and radial functions, which depend on the principal, angular momentum, and magnetic quantum numbers
- The wavefunctions are characterized by discrete energy levels and exhibit a shell structure, with each shell corresponding to a principal quantum number
- The shapes of the atomic orbitals (e.g., s, p, d) are determined by the angular momentum quantum number and are related to the angular part of the wavefunction
- Tunneling is a quantum phenomenon in which a particle can pass through a potential barrier that it classically could not surmount, and the probability of tunneling depends on the shape of the potential barrier and the energy of the particle
- The wavefunction of a particle can extend into classically forbidden regions, leading to a non-zero probability of finding the particle in those regions
- The probability of tunneling decreases exponentially with the width and height of the potential barrier
Visualization Techniques
- Visualization techniques, such as plotting the real and imaginary parts of the wavefunction, the probability density, and the probability current, can help in understanding the behavior of wavefunctions in different quantum systems
- Plotting the real and imaginary parts of the wavefunction separately can reveal the oscillatory nature and phase relationships of the wavefunction
- Plotting the probability density ($|Ψ(x, t)|^2$) shows the spatial distribution of the likelihood of finding the particle at different locations
- Plotting the probability current ($J(x, t)$) illustrates the flow of probability density and can help identify regions of high and low probability flow in a quantum system