Quantum chemistry combines physics and mathematics to model atomic and molecular behavior at the quantum level. It uses advanced computational methods to solve complex equations, providing insights into chemical properties and reactions that are difficult to observe experimentally.
This field is crucial for predicting molecular structures, reaction pathways, and material properties. By applying quantum mechanics to chemical systems, researchers can design new drugs, catalysts, and materials with tailored properties, revolutionizing fields from pharmaceuticals to energy technology.
Quantum chemistry foundations
- Quantum chemistry foundations provide the mathematical and theoretical basis for understanding the behavior of atoms, molecules, and materials at the quantum level
- These concepts are essential for accurately modeling and predicting the properties and reactivity of chemical systems using computational methods

more resources to help you study
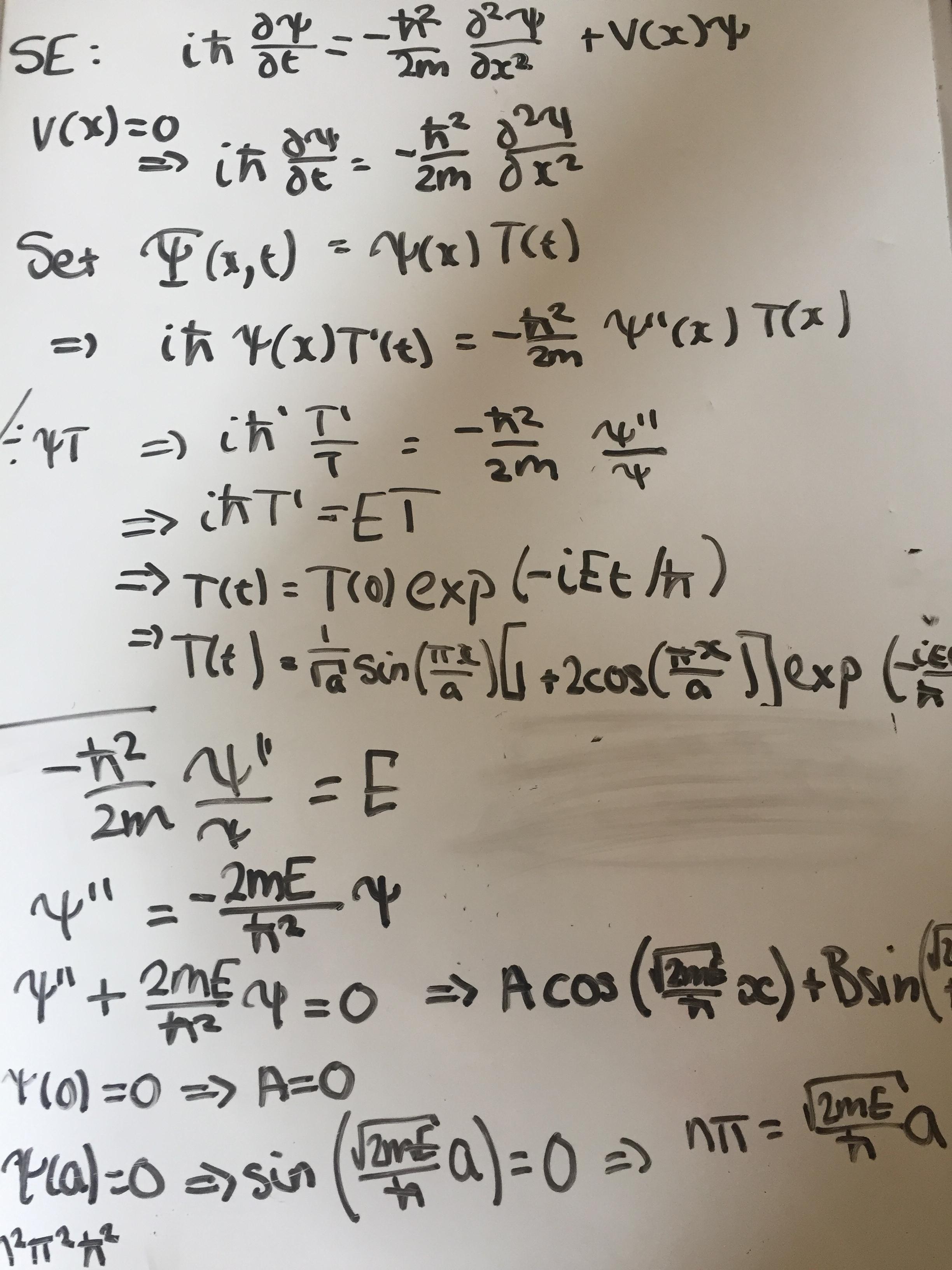
Schrödinger equation
- Fundamental equation in quantum mechanics that describes the wave function and energy of a quantum system
- For a particle with mass $m$ moving in a potential $V(x)$, the time-independent Schrödinger equation is:
- Solutions to the Schrödinger equation yield the wave function $\psi(x)$ and the corresponding energy eigenvalues $E$
- The wave function contains all the information about the quantum state of the system
Born-Oppenheimer approximation
- Simplifies the Schrödinger equation by separating the motion of nuclei and electrons
- Assumes that the nuclei are much heavier than the electrons and move much more slowly
- Allows the electronic Schrödinger equation to be solved for a fixed nuclear configuration
- The total wave function is approximated as a product of the nuclear and electronic wave functions:
Variational principle
- States that the energy calculated using any trial wave function will always be greater than or equal to the true ground state energy
- Provides a way to systematically improve the accuracy of the wave function by minimizing the energy with respect to the variational parameters
- The variational energy is given by:
- Widely used in electronic structure methods like Hartree-Fock and density functional theory
Perturbation theory
- Treats the difference between the actual system and a simpler, exactly solvable system as a small perturbation
- Allows the properties of the actual system to be expressed as corrections to the properties of the unperturbed system
- The perturbed Hamiltonian is written as:
- The energy and wave function are expanded in powers of the perturbation parameter $\lambda$:
Electronic structure methods
- Electronic structure methods are computational approaches for solving the electronic Schrödinger equation to determine the properties of atoms, molecules, and materials
- These methods vary in their accuracy, computational cost, and the types of systems they can be applied to
Hartree-Fock theory
- Approximates the many-electron wave function as a single Slater determinant of one-electron orbitals
- Accounts for electron exchange exactly but neglects electron correlation
- Serves as the starting point for more accurate post-Hartree-Fock methods
- The Hartree-Fock equations are solved iteratively until self-consistency is achieved:
Density functional theory (DFT)
- Expresses the energy of a system as a functional of the electron density instead of the many-electron wave function
- Includes electron correlation effects through the exchange-correlation functional
- Offers a good balance between accuracy and computational efficiency
- Popular functionals include B3LYP, PBE, and M06-2X
Post-Hartree-Fock methods
- Improve upon the Hartree-Fock approximation by including electron correlation effects
- Examples include Møller-Plesset perturbation theory (MP2, MP3, etc.), coupled cluster theory (CCSD, CCSD(T), etc.), and configuration interaction (CISD, CISDT, etc.)
- Provide highly accurate results but are computationally demanding
- Often used as benchmarks for validating other methods
Semiempirical methods
- Simplify the Hartree-Fock equations by using empirical parameters derived from experimental data or higher-level calculations
- Significantly reduce the computational cost compared to ab initio methods
- Examples include AM1, PM3, and MNDO
- Useful for studying large systems or for high-throughput screening
Basis sets
- Basis sets are sets of mathematical functions used to represent the molecular orbitals in electronic structure calculations
- The choice of basis set affects the accuracy and computational cost of the calculation
Slater-type orbitals (STOs)
- Resemble the exact solutions for the hydrogen atom
- Have the correct cusp at the nucleus and exponential decay at long distances
- Computationally expensive due to the presence of exponential functions
- Rarely used in modern quantum chemistry software
Gaussian-type orbitals (GTOs)
- Approximate STOs using Gaussian functions, which are easier to integrate
- Contracted GTOs are linear combinations of primitive Gaussian functions
- Commonly used basis sets include STO-3G, 6-31G, and cc-pVDZ
- Balanced between accuracy and computational efficiency
Plane wave basis sets
- Represent the orbitals as a sum of plane waves with different wave vectors
- Suitable for periodic systems like crystals and surfaces
- Require a large number of basis functions to describe localized states
- Often used in conjunction with pseudopotentials
_scientific_computing_applications%22-7cOaY.jpg)
Pseudopotentials
- Replace the core electrons and the strong nuclear potential with a smoother, effective potential
- Reduce the number of electrons that need to be explicitly treated in the calculation
- Commonly used for heavy elements to include relativistic effects
- Examples include norm-conserving and ultrasoft pseudopotentials
Molecular properties
- Quantum chemistry methods can be used to calculate various properties of molecules and materials
- These properties provide insights into the structure, stability, and reactivity of the system
Geometry optimization
- Finds the equilibrium geometry of a molecule by minimizing its energy with respect to the nuclear coordinates
- Uses gradient-based optimization algorithms like steepest descent or conjugate gradient
- Requires the calculation of energy and gradients at each step
- Validates the optimized geometry by confirming that all vibrational frequencies are real
Vibrational frequencies
- Calculated by solving the nuclear Schrödinger equation for small displacements around the equilibrium geometry
- Provide information about the infrared and Raman spectra of the molecule
- Used to compute thermodynamic properties like heat capacities and entropies
- Imaginary frequencies indicate that the geometry is a transition state rather than a minimum
Thermochemistry
- Calculates thermodynamic properties like enthalpy, entropy, and Gibbs free energy from the molecular partition function
- Requires the vibrational frequencies, moments of inertia, and electronic energy of the molecule
- Enables the prediction of reaction energies, equilibrium constants, and rate constants
- Often used to compare the stability of different isomers or conformers
Molecular electrostatic potentials
- Represents the electrostatic potential (ESP) created by the nuclei and electrons of a molecule
- Calculated by solving the Poisson equation for the molecular charge density
- Provides insights into the reactivity and intermolecular interactions of the molecule
- ESP maps can be visualized on the molecular surface to identify regions of positive and negative potential
Excited states
- Excited states are electronic states of a molecule or material that have higher energy than the ground state
- Studying excited states is crucial for understanding photochemistry, spectroscopy, and optoelectronic properties
Configuration interaction (CI)
- Expands the excited state wave function as a linear combination of Slater determinants
- Includes single, double, and higher-order excitations from the ground state
- Provides a systematically improvable description of excited states
- Suffers from the "size-consistency problem" for truncated CI expansions
Time-dependent DFT (TDDFT)
- Extends DFT to describe the time-dependent response of a system to an external perturbation
- Calculates excitation energies and oscillator strengths from the linear response of the density
- Offers a balance between accuracy and computational efficiency for excited states
- Struggles with charge-transfer and Rydberg excitations due to the limitations of current functionals
Equation-of-motion coupled-cluster (EOM-CC)
- Calculates excited states as solutions of the coupled-cluster equations with an additional excitation operator
- Provides a size-consistent description of excited states
- Includes single and double excitations (EOM-CCSD) or higher-order excitations (EOM-CCSDT, etc.)
- Considered one of the most accurate methods for excited states but computationally expensive
Multireference methods
- Describe excited states that have significant contributions from multiple electronic configurations
- Examples include complete active space self-consistent field (CASSCF) and multireference configuration interaction (MRCI)
- Provide a more accurate treatment of near-degeneracies and strong correlation effects
- Require the selection of an appropriate active space and are computationally demanding
Solvent effects
- Solvent effects play a crucial role in determining the properties and reactivity of molecules in solution
- Quantum chemistry methods can incorporate solvent effects using implicit or explicit solvation models
Implicit solvation models
- Represent the solvent as a continuous dielectric medium
- Describe the electrostatic interaction between the solute and the solvent using the Poisson-Boltzmann equation
- Examples include the polarizable continuum model (PCM) and the conductor-like screening model (COSMO)
- Computationally efficient but neglect specific solute-solvent interactions
![Schrödinger equation, Schrödinger Equation [The Physics Travel Guide]](https://storage.googleapis.com/static.prod.fiveable.me/search-images%2F%22Schr%C3%B6dinger_equation_quantum_mechanics_wave_function_energy_eigenvalues_potential_V(x)_scientific_computing_applications%22-wavefunction.png%3Fw%3D500%26tok%3Dcdb23b.png)
Explicit solvation models
- Include individual solvent molecules in the quantum chemical calculation
- Capture specific solute-solvent interactions like hydrogen bonding
- Require a large number of solvent molecules to accurately represent the bulk solvent environment
- Computationally expensive due to the increased system size
Polarizable continuum model (PCM)
- Represents the solvent as a polarizable continuum with a dielectric constant
- Calculates the electrostatic interaction between the solute and the solvent using apparent surface charges
- Includes non-electrostatic contributions like cavitation, dispersion, and repulsion energies
- Widely used for modeling solvation effects in quantum chemistry calculations
Quantum mechanics/molecular mechanics (QM/MM)
- Combines a quantum mechanical description of the solute with a molecular mechanical description of the solvent
- Treats the solute and its immediate environment using a high-level QM method
- Describes the bulk solvent using a computationally efficient MM force field
- Enables the study of chemical reactions and excited states in complex environments like enzymes and proteins
Relativistic effects
- Relativistic effects become important for heavy elements where the electrons move at speeds comparable to the speed of light
- Neglecting relativistic effects can lead to significant errors in the calculated properties of heavy-element compounds
Scalar relativistic effects
- Arise from the mass-velocity and Darwin terms in the Dirac equation
- Lead to a contraction of the s and p orbitals and an expansion of the d and f orbitals
- Affect the bond lengths, ionization potentials, and electron affinities of heavy-element compounds
- Can be included using scalar relativistic Hamiltonians like the zeroth-order regular approximation (ZORA)
Spin-orbit coupling
- Describes the interaction between the electron spin and orbital angular momentum
- Splits the degenerate atomic and molecular orbitals into different energy levels
- Affects the spectra and magnetic properties of heavy-element compounds
- Can be included using two-component or four-component relativistic methods
Relativistic pseudopotentials
- Include scalar relativistic effects in the effective core potential
- Reduce the computational cost compared to all-electron relativistic calculations
- Examples include the effective core potentials (ECPs) developed by Stevens, Basch, and Krauss
- Widely used in quantum chemistry calculations for heavy elements
Exact two-component (X2C) methods
- Decouple the large and small components of the four-component Dirac equation
- Provide a more accurate treatment of relativistic effects than scalar relativistic methods
- Include both scalar and spin-orbit relativistic effects
- Computationally more efficient than full four-component methods like Dirac-Hartree-Fock or Dirac-Kohn-Sham
Quantum chemistry software
- Quantum chemistry software packages implement various electronic structure methods and algorithms
- The choice of software depends on the specific problem, the available computational resources, and the user's expertise
Commercial vs open-source
- Commercial software like Gaussian and Q-Chem offer a wide range of methods and features, along with professional support and documentation
- Open-source software like ORCA and Psi4 provide free access to advanced quantum chemistry methods and allow for code modification and development
- Both commercial and open-source software have their strengths and weaknesses, and the choice depends on the user's needs and preferences
Gaussian
- One of the most widely used commercial quantum chemistry packages
- Offers a comprehensive set of methods for electronic structure calculations, molecular properties, and chemical reactions
- Known for its user-friendly interface and extensive documentation
- Supports a wide range of basis sets and pseudopotentials
Q-Chem
- A high-performance commercial quantum chemistry package
- Focuses on advanced methods for electronic structure calculations, excited states, and chemical dynamics
- Provides efficient parallelization and GPU acceleration
- Includes specialized modules for spectroscopy, electron transfer, and non-adiabatic dynamics
ORCA
- A powerful open-source quantum chemistry package
- Offers a wide range of methods for electronic structure calculations, spectroscopy, and thermochemistry
- Provides efficient parallelization and support for modern hardware architectures
- Includes a simple input syntax and a flexible scripting language for complex workflows