Ordinary differential equations are powerful tools in mathematical economics, modeling dynamic systems and variable changes over time. They express relationships between functions and derivatives, enabling economists to describe and predict complex economic phenomena.
Understanding ODEs provides a foundation for advanced economic modeling and policy analysis. From simple growth models to complex market dynamics, ODEs help economists analyze various economic systems, offering insights into equilibrium, stability, and long-term behavior.
Definition and basic concepts
- Ordinary differential equations form a crucial mathematical tool in economics for modeling dynamic systems and analyzing how variables change over time
- These equations express relationships between functions and their derivatives, allowing economists to describe and predict complex economic phenomena
- Understanding ODEs provides a foundation for advanced economic modeling techniques and policy analysis
Types of differential equations
- Linear differential equations involve linear combinations of the function and its derivatives
- Nonlinear differential equations contain nonlinear terms, often representing more complex economic relationships
- Autonomous differential equations do not explicitly depend on the independent variable (usually time)
- Non-autonomous equations include explicit time dependence, reflecting changing economic conditions
Order and degree
- Order refers to the highest derivative present in the differential equation
- First-order equations contain only first derivatives, used for simple economic growth models
- Higher-order equations involve higher derivatives, applicable to more complex economic systems
- Degree denotes the power of the highest-order derivative after the equation is in polynomial form
- Linear equations always have a degree of 1, simplifying their analysis and solution methods
Solutions and initial conditions
- General solutions contain arbitrary constants, representing a family of possible trajectories
- Particular solutions result from specifying initial conditions, determining a unique economic path
- Initial conditions in economics often represent starting values of economic variables (GDP, price levels)
- Equilibrium solutions represent steady states where the system remains constant over time
- Stability of solutions determines whether small perturbations lead to convergence or divergence from equilibrium
First-order differential equations
- First-order ODEs serve as fundamental building blocks for modeling simple economic dynamics
- These equations find applications in areas such as population growth, market equilibrium, and asset pricing
- Solving first-order ODEs often involves integrating factor methods or separation of variables
Separation of variables
- Technique applies to equations where variables can be separated onto different sides of the equation
- Involves rewriting the equation as and integrating both sides
- Useful for solving simple economic growth models or decay processes
- Limitations include inability to handle more complex, coupled economic systems
- Example application includes modeling exponential population growth in a resource-limited environment
Linear equations
- General form of a first-order linear ODE
- Integrating factor method used to solve these equations by multiplying both sides by
- Applications include modeling price adjustments in markets with linear demand and supply functions
- Can represent simple interest rate dynamics or depreciation of capital in economic models
- Solution process involves finding a particular solution and adding it to the homogeneous solution
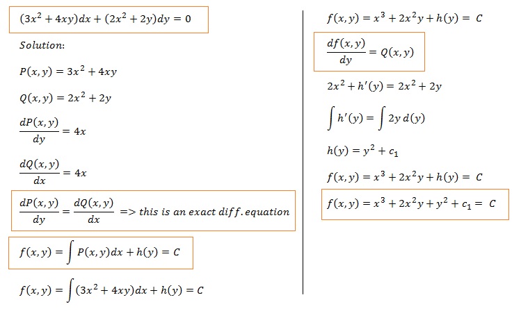
Exact equations
- Exact differential equations satisfy the condition for
- Solution involves finding a function such that
- Applicable to certain economic optimization problems and equilibrium analyses
- Not all equations are naturally exact, but some can be made exact using integrating factors
- Example use includes analyzing conservation laws in economic systems
Integrating factors
- Method to transform a non-exact equation into an exact equation
- Integrating factor multiplies the original equation to make it exact
- Particularly useful for solving linear first-order ODEs in economics
- Can model scenarios where economic variables have interdependent growth rates
- Integrating factors often have economic interpretations related to discounting or compounding effects
Second-order differential equations
- Second-order ODEs model more complex economic dynamics involving acceleration or deceleration
- These equations find applications in business cycle theory, market oscillations, and growth models
- Solutions often exhibit oscillatory behavior, reflecting cyclical economic phenomena
Homogeneous equations
- General form where , , and are constants
- Characteristic equation determines the nature of solutions
- Three solution types based on roots of characteristic equation real and distinct, real and repeated, complex conjugates
- Applications include modeling damped economic oscillations or growth patterns
- Example use in analyzing the dynamics of a simple harmonic economic cycle
Non-homogeneous equations
- General form where is a non-zero function
- Solution consists of the sum of complementary function (homogeneous solution) and particular integral
- Methods for finding particular solutions include variation of parameters and undetermined coefficients
- Represent forced economic systems or those with external inputs
- Can model economic responses to policy interventions or exogenous shocks
Method of undetermined coefficients
- Applicable when the non-homogeneous term is a polynomial, exponential, sine, cosine, or a combination
- Assumes a particular solution form based on and determines coefficients
- Useful for solving equations with constant coefficients and specific types of forcing functions
- Can model economic systems with periodic external influences (seasonal effects)
- Example application includes analyzing the impact of cyclical government spending on economic output

Variation of parameters
- General method for finding particular solutions to non-homogeneous equations
- Involves varying the constants in the general solution of the homogeneous equation
- Applicable to a wider range of non-homogeneous terms compared to undetermined coefficients
- Useful for modeling economic systems with complex external influences
- Can analyze how changing parameters in economic policies affect system dynamics
Systems of differential equations
- Systems of ODEs model interrelated economic variables evolving simultaneously
- Essential for analyzing complex economic systems with multiple interdependent factors
- Provide insights into the behavior of interconnected economic indicators and markets
Linear systems
- Represented in matrix form as where is a constant matrix
- Solutions involve eigenvalues and eigenvectors of the coefficient matrix
- Stability of solutions determined by the real parts of eigenvalues
- Applications include modeling interactions between different economic sectors
- Example use in analyzing coupled price dynamics in interconnected markets
Phase plane analysis
- Graphical method for visualizing solutions of two-dimensional systems of ODEs
- Plots trajectories in the phase plane, showing how variables evolve together
- Identifies key features equilibrium points, limit cycles, and separatrices
- Useful for qualitative analysis of economic dynamics without solving equations explicitly
- Can reveal long-term behavior and stability properties of economic systems
Stability of equilibrium points
- Equilibrium points represent steady states where all variables remain constant
- Local stability determined by linearization around equilibrium points
- Classification of equilibrium points node, saddle, focus, or center
- Global stability analysis considers behavior of trajectories in the entire phase space
- Applications include assessing the long-term stability of economic equilibria and policy impacts
Applications in economics
- Differential equations provide powerful tools for modeling and analyzing dynamic economic phenomena
- These mathematical models enable economists to study complex interactions and make predictions
- Applications span various fields of economics, from microeconomic behavior to macroeconomic policy analysis
Growth models
- Solow-Swan model uses ODEs to analyze long-term economic growth
- Describes capital accumulation, technological progress, and population growth
- Equation models capital per worker dynamics
- Endogenous growth models incorporate human capital and innovation factors
- Applications include studying convergence between economies and effects of saving rates on growth
Market equilibrium dynamics
- Differential equations model price adjustments in response to supply and demand imbalances
- Cobweb model uses time delays to explain cyclical price fluctuations in agricultural markets
- Equation represents price dynamics with linear demand and supply
- Stability analysis of equilibrium points reveals conditions for market stability
- Extensions include modeling speculative behavior and expectations in financial markets
Business cycle models
- Real Business Cycle (RBC) theory uses differential equations to model economic fluctuations
- Incorporates stochastic shocks to productivity and other economic variables
- Dynamic stochastic general equilibrium (DSGE) models extend this approach
- Equations describe evolution of key macroeconomic variables (output, consumption, investment)
- Applications include policy analysis and forecasting economic performance under different scenarios
Numerical methods
- Numerical techniques provide approximate solutions to differential equations in economics
- Essential for solving complex systems that lack analytical solutions
- Enable economists to simulate and analyze realistic economic models with nonlinearities
Euler's method
- Simple first-order numerical method for approximating solutions to ODEs
- Iteratively updates solution using tangent line approximations
- Formula where is the step size
- Accuracy improves with smaller step sizes, but computational cost increases
- Applications include basic simulations of economic growth models and price dynamics
Runge-Kutta methods
- Family of higher-order numerical methods for solving ODEs
- Fourth-order Runge-Kutta (RK4) method commonly used for improved accuracy
- Involves multiple evaluations of the derivative function per step
- Formula for RK4 where are intermediate slopes
- Applications include accurate simulations of complex economic systems and policy impact analysis

Qualitative analysis
- Qualitative techniques provide insights into the behavior of economic systems without exact solutions
- These methods help economists understand the overall dynamics and stability properties of models
- Essential for analyzing complex nonlinear systems common in advanced economic theories
Direction fields
- Graphical representation of the slope field for first-order ODEs
- Arrows or line segments indicate the direction of solution curves at each point
- Useful for visualizing the general behavior of solutions without solving the equation
- Helps identify equilibrium points and regions of increasing or decreasing solutions
- Applications include analyzing the dynamics of simple economic models (price adjustments, population growth)
Equilibrium points
- Points where the derivative of the function equals zero, representing steady states
- In economic systems, equilibrium points often represent long-term stable conditions
- Classification of equilibrium points stable, unstable, or saddle points
- Determined by analyzing the behavior of nearby solutions
- Examples include market clearing prices or steady-state levels in growth models
Stability analysis
- Examines the behavior of solutions near equilibrium points
- Linear stability analysis involves linearizing the system around equilibrium points
- Eigenvalues of the Jacobian matrix determine local stability properties
- Lyapunov stability theory provides tools for global stability analysis
- Applications include assessing the robustness of economic equilibria to small perturbations
Laplace transforms
- Laplace transforms convert differential equations into algebraic equations
- Simplify the process of solving certain types of ODEs and systems of ODEs
- Particularly useful for analyzing economic systems with discontinuous inputs or impulses
Definition and properties
- Laplace transform of a function defined as
- Linearity property
- Derivative property
- Convolution property useful for analyzing economic systems with memory effects
- Table of common Laplace transforms aids in solving economic ODEs
Inverse Laplace transforms
- Process of converting solutions in the s-domain back to the time domain
- Partial fraction decomposition often used to simplify inverse transforms
- Inverse transform defined as
- Tables of inverse Laplace transforms facilitate quick solutions
- Applications include recovering time-domain solutions for economic dynamics
Solving differential equations
- Convert ODE to algebraic equation using Laplace transform properties
- Solve resulting algebraic equation for transformed solution
- Apply inverse Laplace transform to obtain time-domain solution
- Particularly effective for ODEs with constant coefficients and specific types of forcing functions
- Example use in analyzing economic systems with step changes in policy or sudden market shocks
Existence and uniqueness theorems
- Theoretical foundations ensuring the validity of solutions to differential equations in economics
- Provide conditions under which economic models have well-defined and unique solutions
- Essential for establishing the mathematical soundness of economic theories and models
Picard-Lindelöf theorem
- Guarantees existence and uniqueness of solutions to initial value problems
- Applies to first-order ODEs of the form with initial condition
- Requires to be Lipschitz continuous in and continuous in
- Ensures that small changes in initial conditions lead to small changes in solutions
- Applications include validating the mathematical foundations of economic growth models
Lipschitz continuity
- Condition stronger than ordinary continuity, essential for uniqueness of solutions
- Function is Lipschitz continuous if for some constant
- Ensures that the rate of change of the function is bounded
- Important in economic models to prevent unrealistic or explosive behavior
- Examples include ensuring smooth responses of economic variables to policy changes
Boundary value problems
- Differential equations with conditions specified at different points
- Relevant in economics for problems with constraints at multiple time points or spatial locations
- Applications include optimal control problems and spatial economic models
Sturm-Liouville theory
- Deals with second-order linear differential equations of the form
- Provides a framework for analyzing eigenvalue problems in economics
- Eigenfunctions form orthogonal bases, useful for series expansions of solutions
- Applications in spectral analysis of economic time series and spatial economic patterns
- Example use in analyzing oscillatory behavior in business cycle models
Green's functions
- Technique for solving non-homogeneous boundary value problems
- Green's function satisfies the homogeneous equation with special boundary conditions
- Solution given by where is the non-homogeneous term
- Useful for analyzing economic systems with spatially or temporally distributed effects
- Applications include modeling the propagation of economic shocks through interconnected markets