Welcome and Introduction
Importance of Separable DE
Weekly Stream Schedule
Fiveable Olympics Announcement
Overview of Separable Equations
Form of Separable DE
Separation Steps
Earning Points on Exam
Integration Techniques
Anti-Derivatives and Constants
General Solution Isolation
Point Allocation Breakdown
General vs Particular Solutions
2000 Exam Example
U-Substitution Explanation
Anti-Derivative Results
Natural Log Isolation
Particular Solution Calculation
2004 Slope Field Sketch
Slope Field Discussion
2004 Separation Steps
Absolute Value in Integration
Absolute Value Cases
Condition for Absolute Value
Contextual Problem Example
2014 Example Setup
Integration with Constant
Particular Solution Final
General Solution Practice
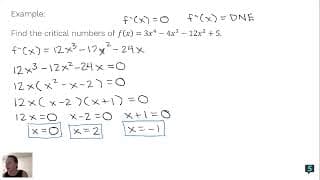
Factoring Constant Twist
Square Root Issue Example
Absolute Value vs Square Root
General Solution Discussion
Upcoming Sessions Overview
Rate In/Out BC Topic
Resources and Downloads
Closing Q&A and Feedback
Session Wrap-Up

1:02:22
AP Calculus - Preview Session: Exam Prep & Study Tips
2024 · Jude St John

5:00:44
AP Calculus CRAM – Related Rates & Implicit Differentiation
2020

1:09:44
AP Calculus - Q&A: Differential Equations & Slope Fields
2020 · Leen & Jacob

1:00:39
AP Calculus AB - Interpreting Derivatives & Integrals
2020 · Meghan Dwyer

1:22:08
AP Calculus - Increasing & Decreasing Functions
2019 · Suzanne Ferrell-Locke