Multi-resolution Analysis (MRA) is a powerful tool in wavelet theory, allowing signals to be broken down into different scales. It provides a systematic way to construct wavelets and analyze signals at various levels of detail, making it crucial for many signal processing tasks.
MRA's nested subspace structure and scaling/wavelet functions form the backbone of this framework. This approach enables efficient signal decomposition and reconstruction, leading to applications in compression, denoising, and feature extraction. Understanding MRA is key to grasping the practical uses of wavelets.
Multi-resolution analysis in wavelet theory
Fundamentals of MRA
- Multi-resolution analysis (MRA) is a mathematical framework that provides a systematic way to construct and analyze wavelets and their associated scaling functions
- MRA allows for the decomposition of a signal into a hierarchy of approximations and details at different scales or resolutions, enabling the analysis of signal features at various levels of detail
- The key components of MRA are the nested subspaces, scaling functions, and wavelet functions, which work together to provide a complete and efficient representation of the signal
- MRA forms the theoretical foundation for the construction of orthogonal and biorthogonal wavelet bases, which are widely used in signal processing (image compression), and numerical analysis
Benefits and applications of MRA
- MRA provides a structured approach to wavelet construction and analysis, facilitating the development of efficient algorithms for signal processing tasks
- The multi-scale representation of signals in MRA allows for the extraction of relevant features and the suppression of noise or irrelevant information
- MRA has been successfully applied in various domains, such as image and video compression (JPEG2000), denoising, feature extraction, and pattern recognition
- The hierarchical nature of MRA enables the efficient computation of wavelet transforms, making it suitable for real-time applications and large-scale data processing

Nested subspace structure in MRA
Properties of nested subspaces
- In MRA, a sequence of nested subspaces {V_j}_j∈ℤ is constructed, where each subspace V_j represents the space of approximations at a particular scale or resolution j
- The nested subspace structure satisfies the following properties:
- V_j ⊂ V_{j+1} for all j∈ℤ, meaning that each subspace is contained within the next higher-resolution subspace
- ⋂_{j∈ℤ} V_j = {0}, indicating that the intersection of all subspaces is the trivial subspace containing only the zero function
- ⋃_{j∈ℤ} V_j is dense in L²(ℝ), meaning that the union of all subspaces is dense in the space of square-integrable functions
- f(x) ∈ V_j ⟺ f(2x) ∈ V_{j+1}, implying that if a function belongs to a subspace, then its scaled version belongs to the next higher-resolution subspace

Scaling and wavelet functions
- The scaling function φ(x) generates the nested subspaces and satisfies the two-scale relation: φ(x) = ∑_k h_k φ(2x-k), where h_k are the scaling function coefficients
- The scaling function acts as a low-pass filter, capturing the coarse-scale information of the signal
- Examples of scaling functions include the Haar scaling function and the Daubechies scaling functions
- The wavelet function ψ(x) is derived from the scaling function and is responsible for capturing the details between successive approximation spaces
- The wavelet function satisfies the two-scale relation: ψ(x) = ∑_k g_k φ(2x-k), where g_k are the wavelet coefficients
- The wavelet function acts as a high-pass filter, capturing the fine-scale details of the signal
- Examples of wavelet functions include the Haar wavelet and the Daubechies wavelets
- The scaling and wavelet functions form orthonormal bases for their respective subspaces, enabling the efficient decomposition and reconstruction of signals
Signal analysis using MRA
Decomposition and reconstruction
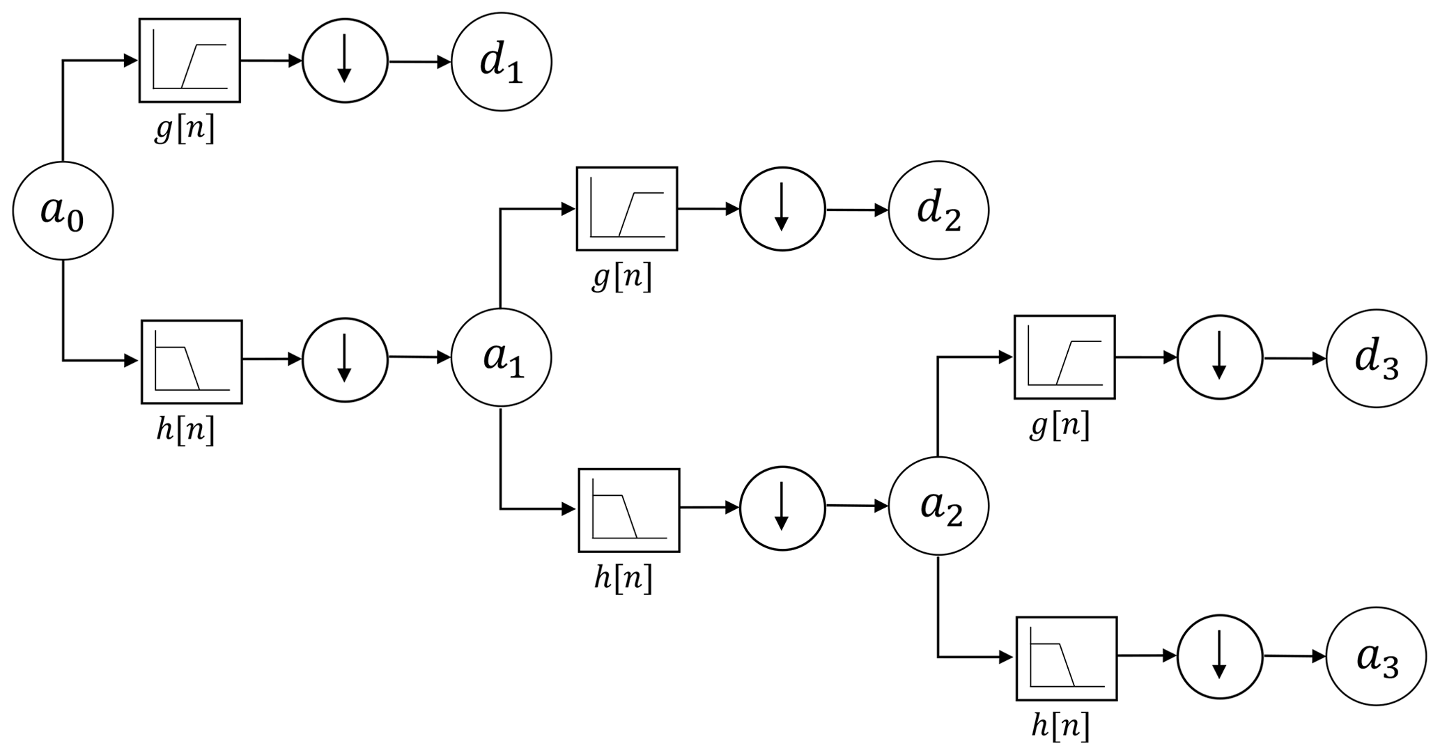
- To analyze a signal using MRA, the signal is projected onto the nested subspaces, resulting in a series of approximations and details at different scales
- The approximation coefficients at scale j, denoted as a_j[k], represent the low-frequency or coarse-scale information of the signal and are obtained by the inner product of the signal with the scaling functions at that scale
- The detail coefficients at scale j, denoted as d_j[k], represent the high-frequency or fine-scale information of the signal and are obtained by the inner product of the signal with the wavelet functions at that scale
- The decomposition process can be performed iteratively, with each subsequent level providing a coarser approximation and finer details of the signal
- The approximation and detail coefficients can be used to reconstruct the original signal perfectly, as the scaling and wavelet functions form a complete basis for the signal space
Interpretation and applications
- By examining the magnitude and distribution of the approximation and detail coefficients across scales, one can gain insights into the signal's characteristics, such as its frequency content (low-frequency vs. high-frequency components), local features (edges, singularities), and regularity (smoothness)
- MRA-based signal analysis has numerous applications, including:
- Denoising: Removing noise from signals by thresholding or modifying the wavelet coefficients
- Compression: Efficiently representing signals by retaining only the most significant wavelet coefficients
- Feature extraction: Identifying and extracting relevant features from signals based on their multi-scale representation
- Pattern recognition: Classifying or clustering signals based on their wavelet coefficients and multi-scale properties
- The multi-scale representation of the signal in MRA is exploited to achieve desired objectives in these applications, leveraging the ability to separate signal components and analyze them at different resolutions