Matrix polynomials are powerful tools in advanced linear algebra. They're like regular polynomials, but with matrices as variables. This means we can do cool stuff like solve complex equations and analyze systems in ways that weren't possible before.
Evaluating these polynomials can be tricky, but there are smart methods to make it easier. We'll look at different techniques, from basic calculations to fancy eigendecomposition approaches. These skills are super useful in real-world applications like signal processing and network analysis.
Matrix Polynomials and Their Properties
Definition and Structure
- Matrix polynomials consist of polynomial expressions with square matrix variables and scalar or compatible matrix coefficients
- General form:
- A represents a square matrix
- a_i denotes scalar coefficients
- I stands for the identity matrix
- Degree determined by the highest power of the matrix variable in the expression
- Closed under addition and multiplication
- Sum or product of two matrix polynomials yields another matrix polynomial
- Form a ring with zero polynomial and identity matrix as additive and multiplicative identities
Algebraic Properties
- Follow similar properties as scalar polynomials (addition, multiplication, composition)
- Addition of matrix polynomials
- Multiplication of matrix polynomials
- Composition of matrix polynomials
Applications and Significance
- Crucial in solving differential equations (linear systems, control theory)
- Utilized in signal processing (digital filter design, frequency response analysis)
- Applied in control theory (stability analysis, feedback systems)
- Employed in network analysis (centrality measures, graph spectra)
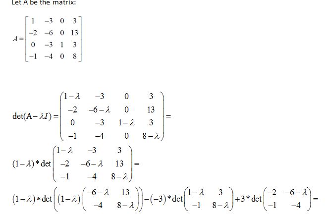
Evaluating Matrix Polynomials
Direct Computation and Horner's Method
- Direct computation involves evaluating each term separately and summing results
- Follow matrix arithmetic order of operations
- Horner's method rewrites the polynomial in nested form
- Minimizes required matrix multiplications

Eigendecomposition and Taylor Series Methods
- Eigendecomposition method diagonalizes matrix A as
- D represents a diagonal matrix of eigenvalues
- Evaluate using
- Taylor series expansion approximates matrix polynomials
- Truncate series around a suitable point
Advanced Techniques
- Cayley-Hamilton theorem simplifies higher degree polynomial evaluations
- Every matrix satisfies its own characteristic polynomial
- Krylov subspace methods efficiently approximate evaluations for large sparse matrices
- Utilize iterative techniques based on Krylov subspaces
- Interpolation-based methods employ matrix interpolation techniques
- Especially effective for matrices with clustered eigenvalues
Applications of Matrix Polynomials
Solving Matrix Equations
- Essential in solving linear systems
- P(A) represents a matrix polynomial
- Compute matrix functions through polynomial expansions
- Matrix exponential:
- Matrix sine:
- Find matrix inverse using Cayley-Hamilton theorem and adjugate matrix method
Dynamical Systems and Signal Processing
- Analyze stability in dynamical systems
- Characteristic polynomial of system matrix determines stability properties
- Design digital filters and analyze frequency responses
- Transfer functions represented as matrix polynomials
- Study Markov chains and stochastic processes
- Analyze long-term behavior and steady-state distributions

Network and Graph Analysis
- Compute centrality measures in complex networks
- Eigenvector centrality:
- Analyze graph spectra and structural properties
- Adjacency matrix polynomials reveal path counts and connectivity
Matrix Polynomials vs Matrix Exponential
Series Expansion and Approximation
- Matrix exponential defined as limit of matrix polynomial series
- Truncating series results in matrix polynomial approximation
- Higher-order terms improve accuracy
Efficient Computation Methods
- Padé approximation provides rational function approximation
- More efficient than direct series expansion
- Scaling and squaring techniques combined with polynomial evaluation
- Efficient for large matrices
Properties and Applications
- Fundamental property: when A and B commute
- Crucial in solving systems of linear differential equations
- has solution
- Connection extends to other matrix functions
- Matrix logarithm:
- Matrix sine: